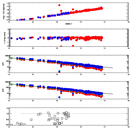
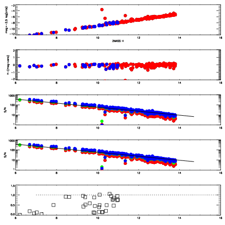
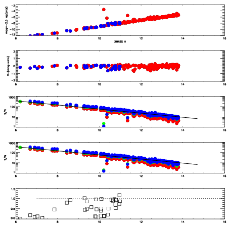
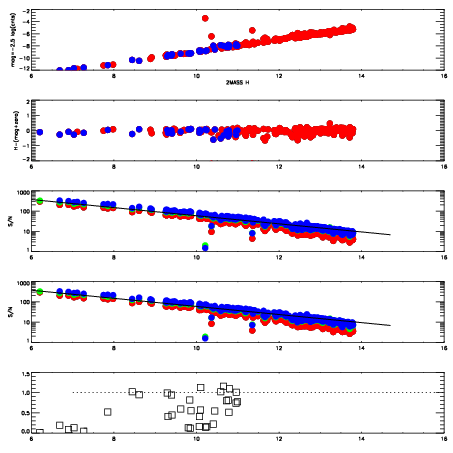
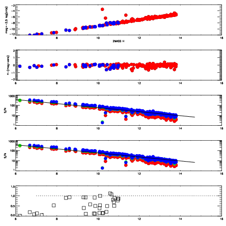
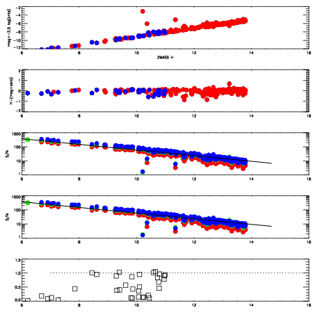
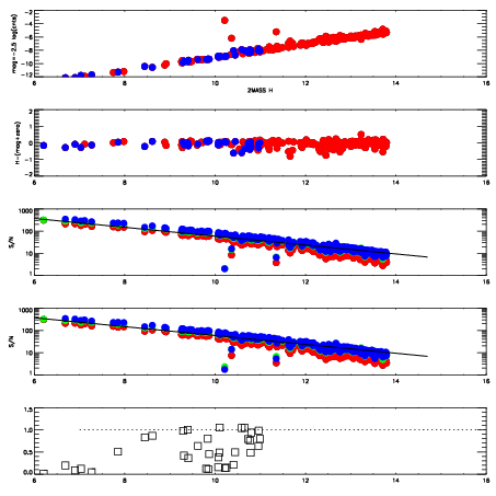
Frame | Nreads | Zeropoints | Mag plots
| Spatial mag deviation
| Spatial sky 16325A emission deviations (filled: sky, open: star)
| Spatial sky continuum emission
| Spatial sky telluric CO2 absorption deviations (filled: H < 10)
|
6060036
| 47
| | Red | Green | Blue
| z | | 19.13
| znorm | | 14.95
| sky | 14.6 | 14.1 | 14.2
| S/N | 17.0 | 27.3 | 29.4
| S/N(c) | 4.6 | 21.0 | 30.4
| SN(E/C) | 0.44
|
|
|
|
|
|
|
6060037
| 47
| | Red | Green | Blue
| z | | 19.09
| znorm | | 14.91
| sky | 14.4 | 14.2 | 14.5
| S/N | 16.4 | 26.5 | 29.4
| S/N(c) | 4.5 | 20.5 | 29.8
| SN(E/C) | 0.49
|
|
|
|
|
|
|
6060038
| 47
| | Red | Green | Blue
| z | | 18.98
| znorm | | 14.80
| sky | 14.7 | 14.3 | 14.5
| S/N | 15.0 | 24.9 | 27.1
| S/N(c) | 4.3 | 19.1 | 27.9
| SN(E/C) | 0.54
|
|
|
|
|
|
|
6060039
| 47
| | Red | Green | Blue
| z | | 19.04
| znorm | | 14.86
| sky | 14.4 | 14.2 | 14.5
| S/N | 15.6 | 25.8 | 28.4
| S/N(c) | 4.4 | 19.8 | 28.8
| SN(E/C) | 0.51
|
|
|
|
|
|
|
6060040
| 47
| | Red | Green | Blue
| z | | 19.00
| znorm | | 14.82
| sky | 14.5 | 14.3 | 14.4
| S/N | 15.5 | 25.5 | 27.4
| S/N(c) | 4.3 | 19.5 | 28.7
| SN(E/C) | 0.52
|
|
|
|
|
|
|
6060041
| 47
| | Red | Green | Blue
| z | | 19.08
| znorm | | 14.90
| sky | 14.4 | 14.4 | 14.4
| S/N | 15.9 | 26.6 | 28.4
| S/N(c) | 4.6 | 20.0 | 29.4
| SN(E/C) | 0.50
|
|
|
|
|
|
|
6060042
| 47
| | Red | Green | Blue
| z | | 19.04
| znorm | | 14.86
| sky | 14.4 | 14.3 | 14.5
| S/N | 15.7 | 26.4 | 27.9
| S/N(c) | 4.4 | 19.9 | 29.3
| SN(E/C) | 0.50
|
|
|
|
|
|
|
6060043
| 47
| | Red | Green | Blue
| z | | 18.99
| znorm | | 14.81
| sky | 14.5 | 14.3 | 14.4
| S/N | 15.2 | 25.3 | 27.2
| S/N(c) | 4.3 | 19.1 | 28.4
| SN(E/C) | 0.55
|
|
|
|
|
|
|