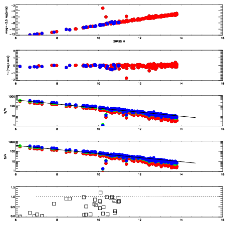
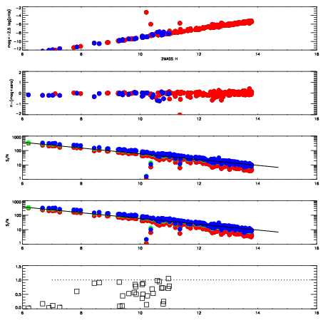
Frame | Nreads | Zeropoints | Mag plots
| Spatial mag deviation
| Spatial sky 16325A emission deviations (filled: sky, open: star)
| Spatial sky continuum emission
| Spatial sky telluric CO2 absorption deviations (filled: H < 10)
|
6320037
| 47
| | Red | Green | Blue
| z | | 19.04
| znorm | | 14.86
| sky | 14.6 | 14.3 | 14.4
| S/N | 15.6 | 25.6 | 27.1
| S/N(c) | 27.4 | 25.1 | 13.6
| SN(E/C) | 0.53
|
|
|
|
|
|
|
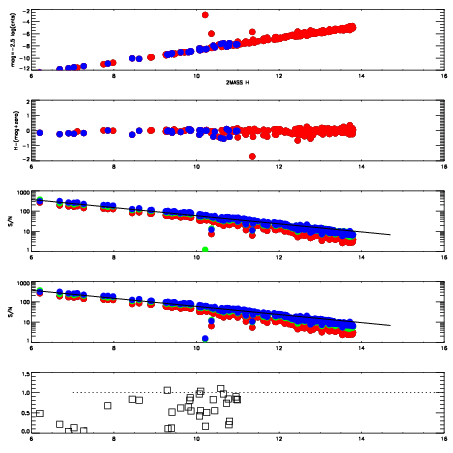
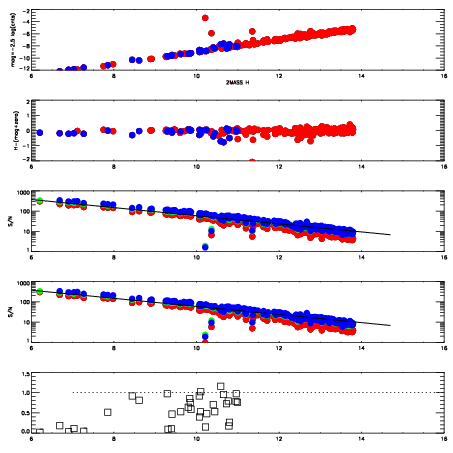
6320038
| 47
| | Red | Green | Blue
| z | | 19.16
| znorm | | 14.98
| sky | 14.7 | 14.6 | 14.8
| S/N | 16.7 | 27.4 | 29.4
| S/N(c) | 29.3 | 26.5 | 14.3
| SN(E/C) | 0.53
|
|
|
|
|
|
|
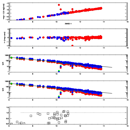
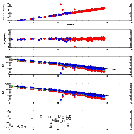
6320039
| 47
| | Red | Green | Blue
| z | | 18.99
| znorm | | 14.81
| sky | 14.4 | 14.4 | 14.7
| S/N | 15.1 | 25.1 | 27.0
| S/N(c) | 26.5 | 24.5 | 13.2
| SN(E/C) | 0.54
|
|
|
|
|
|
|
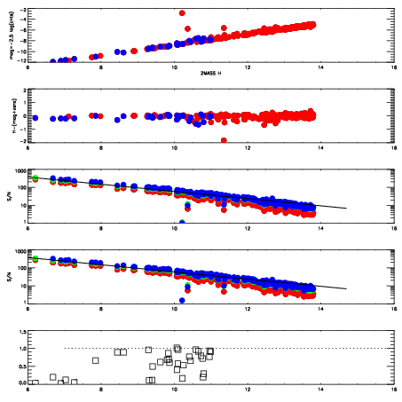
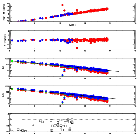
6320040
| 47
| | Red | Green | Blue
| z | | 18.93
| znorm | | 14.75
| sky | 14.5 | 14.4 | 14.6
| S/N | 14.4 | 23.8 | 25.8
| S/N(c) | 25.6 | 23.6 | 12.9
| SN(E/C) | 0.56
|
|
|
|
|
|
|
6320041
| 47
| | Red | Green | Blue
| z | | 18.81
| znorm | | 14.63
| sky | 14.5 | 14.4 | 14.5
| S/N | 13.3 | 22.4 | 24.0
| S/N(c) | 23.8 | 22.2 | 12.1
| SN(E/C) | 0.66
|
|
|
|
|
|
|
6320042
| 47
| | Red | Green | Blue
| z | | 18.79
| znorm | | 14.61
| sky | 14.4 | 14.4 | 14.5
| S/N | 13.0 | 22.1 | 23.6
| S/N(c) | 23.8 | 22.1 | 12.1
| SN(E/C) | 0.62
|
|
|
|
|
|
|
6320043
| 47
| | Red | Green | Blue
| z | | 18.84
| znorm | | 14.66
| sky | 14.5 | 14.4 | 14.5
| S/N | 13.5 | 22.4 | 24.4
| S/N(c) | 24.3 | 22.7 | 12.4
| SN(E/C) | 0.59
|
|
|
|
|
|
|
6320044
| 47
| | Red | Green | Blue
| z | | 18.76
| znorm | | 14.58
| sky | 14.5 | 14.4 | 14.4
| S/N | 13.0 | 21.6 | 22.8
| S/N(c) | 23.1 | 21.7 | 12.0
| SN(E/C) | 0.62
|
|
|
|
|
|
|