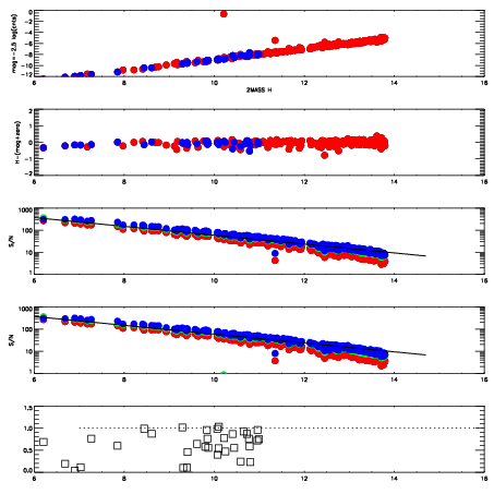
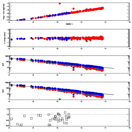
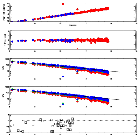
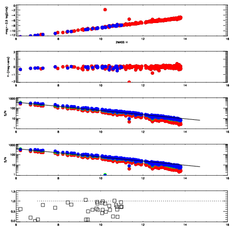
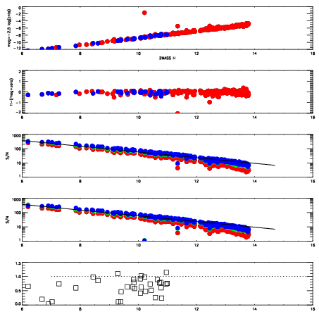
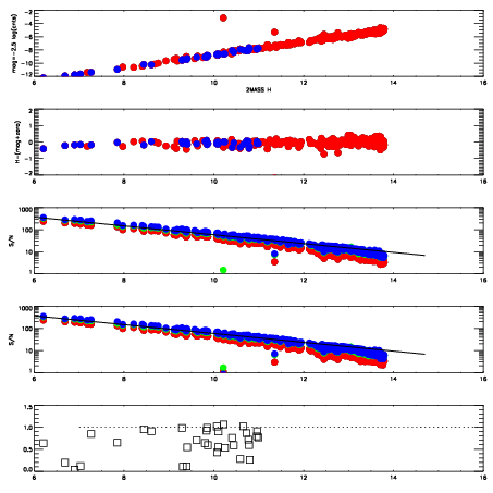
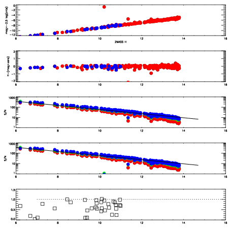
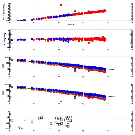
Frame | Nreads | Zeropoints | Mag plots
| Spatial mag deviation
| Spatial sky 16325A emission deviations (filled: sky, open: star)
| Spatial sky continuum emission
| Spatial sky telluric CO2 absorption deviations (filled: H < 10)
|
6070047
| 47
| | Red | Green | Blue
| z | | 18.83
| znorm | | 14.65
| sky | 14.5 | 14.2 | 14.2
| S/N | 11.7 | 20.1 | 21.1
| S/N(c) | 15.5 | 22.8 | 10.8
| SN(E/C) | 0.65
|
|
|
|
|
|
|
6070048
| 47
| | Red | Green | Blue
| z | | 18.79
| znorm | | 14.61
| sky | 14.3 | 14.2 | 14.4
| S/N | 11.2 | 19.9 | 21.2
| S/N(c) | 15.6 | 23.1 | 10.8
| SN(E/C) | 0.65
|
|
|
|
|
|
|
6070049
| 47
| | Red | Green | Blue
| z | | 18.86
| znorm | | 14.68
| sky | 14.4 | 14.3 | 14.5
| S/N | 11.8 | 20.5 | 21.8
| S/N(c) | 16.2 | 23.6 | 11.1
| SN(E/C) | 0.65
|
|
|
|
|
|
|
6070050
| 47
| | Red | Green | Blue
| z | | 18.84
| znorm | | 14.66
| sky | 14.3 | 14.2 | 14.5
| S/N | 11.8 | 21.0 | 21.9
| S/N(c) | 16.2 | 23.9 | 11.1
| SN(E/C) | 0.64
|
|
|
|
|
|
|
6070051
| 47
| | Red | Green | Blue
| z | | 18.87
| znorm | | 14.69
| sky | 14.3 | 14.2 | 14.2
| S/N | 11.9 | 21.1 | 22.0
| S/N(c) | 16.1 | 23.6 | 11.1
| SN(E/C) | 0.64
|
|
|
|
|
|
|
6070052
| 47
| | Red | Green | Blue
| z | | 18.96
| znorm | | 14.77
| sky | 14.4 | 14.2 | 14.3
| S/N | 12.7 | 22.2 | 23.3
| S/N(c) | 17.0 | 24.7 | 11.6
| SN(E/C) | 0.61
|
|
|
|
|
|
|
6070053
| 47
| | Red | Green | Blue
| z | | 19.00
| znorm | | 14.82
| sky | 14.4 | 14.3 | 14.3
| S/N | 13.2 | 22.7 | 23.8
| S/N(c) | 17.2 | 25.1 | 12.0
| SN(E/C) | 0.64
|
|
|
|
|
|
|
6070054
| 47
| | Red | Green | Blue
| z | | 19.06
| znorm | | 14.88
| sky | 14.3 | 14.3 | 14.3
| S/N | 13.7 | 23.5 | 24.7
| S/N(c) | 17.8 | 25.9 | 11.9
| SN(E/C) | 0.61
|
|
|
|
|
|
|