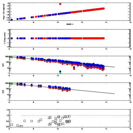
Left plots: red are targets, blue are telluric. Observed mags are calculated from median value of green chip. Zeropoint gives overall throughput: bigger number is more throughput.
First spatial plots: circles are objects, squares are tellurics, crosses are sky fibers. Colors give deviation of observed mag from expected 2MASS mag using the median zeropoint; red is brighter
Second spatial plots: circles are sky fibers. Colors give sky line brightness relative to plate median sky line brightness
FrameNreadsZeropointsMag plots Spatial mag deviation Spatial sky 16325A emission deviations (filled: sky, open: star) Spatial sky continuum emission Spatial sky telluric CO2 absorption deviations (filled: H < 10)
0 0
RedGreenBlue
z17.64
znorm Inf
sky -Inf -NaN -Inf
S/N 27.0 47.3 52.3
S/N(c) 0.0 0.0 0.0
SN(E/C) 0.50

IPAIRNAMESHIFTNEWSHIFTS/N NAMESHIFTNEWSHIFTS/N
0 06110053 0.485918 0.00000 19.2391 06110054 0.000341960 0.485576 19.2371
1 06110052 0.485082 0.000835985 19.2377 06110050 0.000922267 0.484996 19.2321
2 06110049 0.485469 0.000448972 19.1790 06110051 -0.000477135 0.486395 19.2316
3 06110048 0.485279 0.000638992 19.1380 06110047 0.00000 0.485918 19.1363