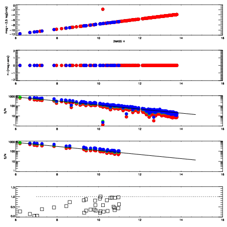
Left plots: red are targets, blue are telluric. Observed mags are calculated from median value of green chip. Zeropoint gives overall throughput: bigger number is more throughput.
First spatial plots: circles are objects, squares are tellurics, crosses are sky fibers. Colors give deviation of observed mag from expected 2MASS mag using the median zeropoint; red is brighter
Second spatial plots: circles are sky fibers. Colors give sky line brightness relative to plate median sky line brightness
FrameNreadsZeropointsMag plots Spatial mag deviation Spatial sky 16325A emission deviations (filled: sky, open: star) Spatial sky continuum emission Spatial sky telluric CO2 absorption deviations (filled: H < 10)
0 0
RedGreenBlue
z17.64
znorm Inf
sky -Inf -Inf -Inf
S/N 25.7 46.6 48.9
S/N(c) 0.0 0.0 0.0
SN(E/C) 0.44

IPAIRNAMESHIFTNEWSHIFTS/N NAMESHIFTNEWSHIFTS/N
0 06330041 0.478578 0.00000 19.1539 06330039 0.00818649 0.470392 19.1722
1 06330040 0.477969 0.000609010 19.1586 06330042 0.000903230 0.477675 19.1818
2 06330036 0.473381 0.00519699 19.1405 06330038 0.00509710 0.473481 19.1421
3 06330037 0.473262 0.00531599 19.0549 06330035 0.00000 0.478578 19.1044