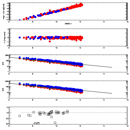
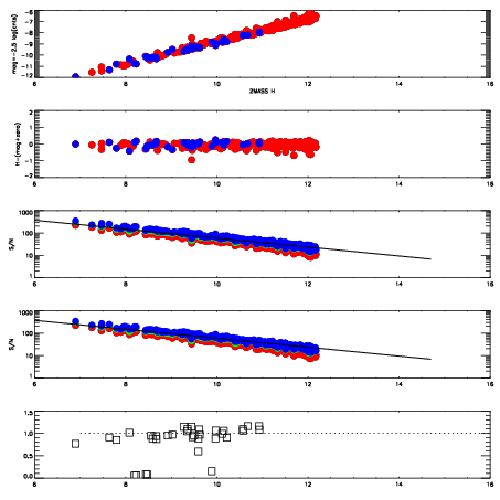
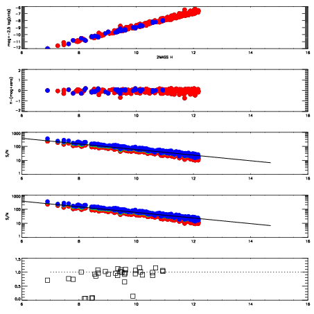
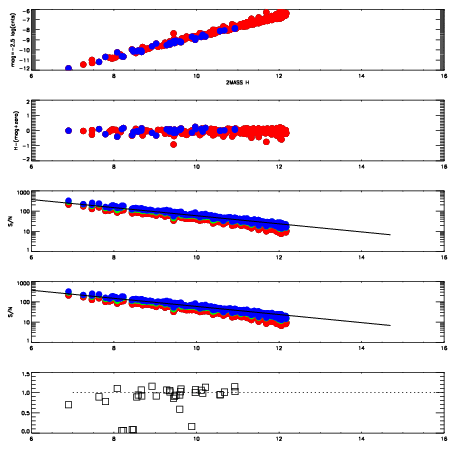
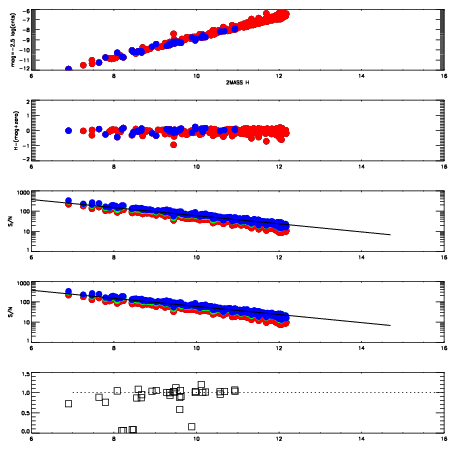
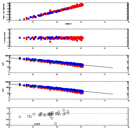
Frame | Nreads | Zeropoints | Mag plots
| Spatial mag deviation
| Spatial sky 16325A emission deviations (filled: sky, open: star)
| Spatial sky continuum emission
| Spatial sky telluric CO2 absorption deviations (filled: H < 10)
|
6890026
| 47
| | Red | Green | Blue
| z | | 18.88
| znorm | | 14.70
| sky | 14.4 | 14.1 | 14.1
| S/N | 14.2 | 22.1 | 21.9
| S/N(c) | 24.6 | 33.4 | 26.9
| SN(E/C) | 0.96
|
|
|
|
|
|
|
6890027
| 47
| | Red | Green | Blue
| z | | 19.00
| znorm | | 14.82
| sky | 14.3 | 14.3 | 14.3
| S/N | 14.9 | 23.7 | 22.9
| S/N(c) | 25.9 | 35.1 | 28.5
| SN(E/C) | 0.96
|
|
|
|
|
|
|
6890028
| 47
| | Red | Green | Blue
| z | | 18.95
| znorm | | 14.77
| sky | 14.5 | 14.3 | 14.4
| S/N | 14.9 | 23.1 | 22.6
| S/N(c) | 25.4 | 34.0 | 28.1
| SN(E/C) | 0.93
|
|
|
|
|
|
|
6890029
| 47
| | Red | Green | Blue
| z | | 18.97
| znorm | | 14.79
| sky | 14.5 | 14.4 | 14.5
| S/N | 14.6 | 23.1 | 23.2
| S/N(c) | 25.3 | 34.5 | 28.5
| SN(E/C) | 0.95
|
|
|
|
|
|
|
6890030
| 47
| | Red | Green | Blue
| z | | 18.98
| znorm | | 14.80
| sky | 14.7 | 14.3 | 14.4
| S/N | 14.8 | 23.3 | 23.2
| S/N(c) | 25.4 | 34.2 | 28.8
| SN(E/C) | 0.89
|
|
|
|
|
|
|
6890031
| 47
| | Red | Green | Blue
| z | | 18.84
| znorm | | 14.66
| sky | 14.6 | 14.4 | 14.5
| S/N | 13.4 | 21.8 | 21.6
| S/N(c) | 23.4 | 32.1 | 26.9
| SN(E/C) | 0.95
|
|
|
|
|
|
|
6890032
| 47
| | Red | Green | Blue
| z | | 18.79
| znorm | | 14.61
| sky | 14.6 | 14.5 | 14.4
| S/N | 12.8 | 20.8 | 20.9
| S/N(c) | 22.7 | 31.3 | 26.0
| SN(E/C) | 1.00
|
|
|
|
|
|
|
6890033
| 47
| | Red | Green | Blue
| z | | 18.73
| znorm | | 14.55
| sky | 14.5 | 14.4 | 14.4
| S/N | 12.3 | 20.3 | 20.3
| S/N(c) | 21.6 | 30.5 | 25.2
| SN(E/C) | 0.94
|
|
|
|
|
|
|