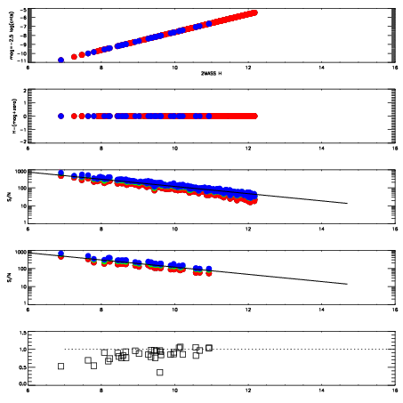
Left plots: red are targets, blue are telluric. Observed mags are calculated from median value of green chip. Zeropoint gives overall throughput: bigger number is more throughput.
First spatial plots: circles are objects, squares are tellurics, crosses are sky fibers. Colors give deviation of observed mag from expected 2MASS mag using the median zeropoint; red is brighter
Second spatial plots: circles are sky fibers. Colors give sky line brightness relative to plate median sky line brightness
FrameNreadsZeropointsMag plots Spatial mag deviation Spatial sky 16325A emission deviations (filled: sky, open: star) Spatial sky continuum emission Spatial sky telluric CO2 absorption deviations (filled: H < 10)
0 0
RedGreenBlue
z17.64
znorm Inf
sky -Inf -Inf -Inf
S/N 24.1 40.9 40.7
S/N(c) 0.0 0.0 0.0
SN(E/C) 0.87

IPAIRNAMESHIFTNEWSHIFTS/N NAMESHIFTNEWSHIFTS/N
0 06890032 0.494432 0.00000 18.7692 06890033 0.00321490 0.491217 18.7045
1 06890027 0.493122 0.00130999 18.9727 06890030 -0.00330527 0.497737 18.9562
2 06890028 0.494218 0.000214010 18.9292 06890029 0.000563682 0.493868 18.9455
3 06890031 0.494176 0.000256002 18.8216 06890026 0.00000 0.494432 18.8574