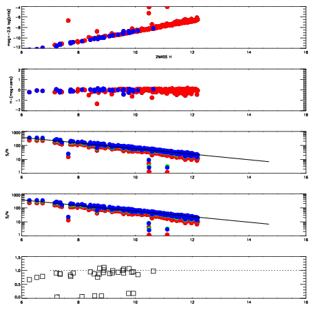
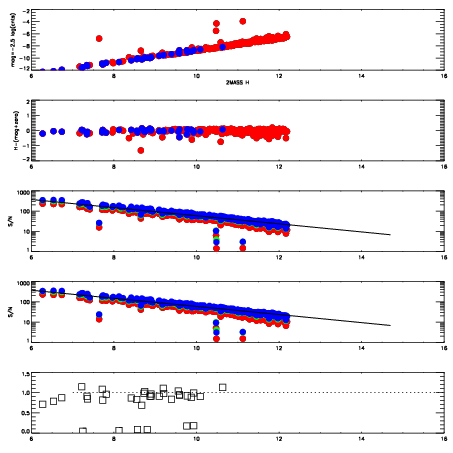
Frame | Nreads | Zeropoints | Mag plots
| Spatial mag deviation
| Spatial sky 16325A emission deviations (filled: sky, open: star)
| Spatial sky continuum emission
| Spatial sky telluric CO2 absorption deviations (filled: H < 10)
|
6320048
| 47
| | Red | Green | Blue
| z | | 18.40
| znorm | | 14.22
| sky | 14.5 | 14.2 | 14.4
| S/N | 10.3 | 16.8 | 16.2
| S/N(c) | 15.6 | 15.0 | 14.1
| SN(E/C) | 0.94
|
|
|
|
|
|
|
6320049
| 47
| | Red | Green | Blue
| z | | 18.78
| znorm | | 14.60
| sky | 14.6 | 14.4 | 14.7
| S/N | 13.7 | 20.9 | 21.2
| S/N(c) | 19.7 | 18.4 | 17.6
| SN(E/C) | 0.90
|
|
|
|
|
|
|
6320050
| 47
| | Red | Green | Blue
| z | | 18.74
| znorm | | 14.56
| sky | 14.6 | 14.4 | 14.6
| S/N | 13.1 | 20.8 | 21.0
| S/N(c) | 19.2 | 18.1 | 17.1
| SN(E/C) | 0.88
|
|
|
|
|
|
|
6320051
| 47
| | Red | Green | Blue
| z | | 18.74
| znorm | | 14.56
| sky | 14.5 | 14.5 | 14.7
| S/N | 12.9 | 21.0 | 21.0
| S/N(c) | 19.2 | 18.1 | 17.1
| SN(E/C) | 0.91
|
|
|
|
|
|
|
6320052
| 47
| | Red | Green | Blue
| z | | 18.69
| znorm | | 14.51
| sky | 14.6 | 14.5 | 14.8
| S/N | 12.5 | 20.4 | 20.6
| S/N(c) | 18.9 | 17.6 | 16.6
| SN(E/C) | 0.91
|
|
|
|
|
|
|
6320053
| 47
| | Red | Green | Blue
| z | | 18.85
| znorm | | 14.67
| sky | 14.8 | 14.6 | 14.7
| S/N | 13.8 | 22.3 | 22.8
| S/N(c) | 20.7 | 19.3 | 18.4
| SN(E/C) | 0.91
|
|
|
|
|
|
|
6320054
| 47
| | Red | Green | Blue
| z | | 18.81
| znorm | | 14.63
| sky | 14.8 | 14.8 | 14.7
| S/N | 13.5 | 22.2 | 22.0
| S/N(c) | 20.2 | 19.0 | 17.9
| SN(E/C) | 0.93
|
|
|
|
|
|
|
6320055
| 47
| | Red | Green | Blue
| z | | 18.76
| znorm | | 14.58
| sky | 14.8 | 14.6 | 14.8
| S/N | 13.2 | 21.5 | 21.6
| S/N(c) | 19.8 | 18.5 | 17.4
| SN(E/C) | 0.95
|
|
|
|
|
|
|