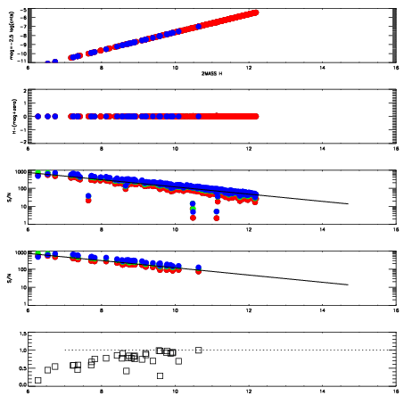
Left plots: red are targets, blue are telluric. Observed mags are calculated from median value of green chip. Zeropoint gives overall throughput: bigger number is more throughput.
First spatial plots: circles are objects, squares are tellurics, crosses are sky fibers. Colors give deviation of observed mag from expected 2MASS mag using the median zeropoint; red is brighter
Second spatial plots: circles are sky fibers. Colors give sky line brightness relative to plate median sky line brightness
FrameNreadsZeropointsMag plots Spatial mag deviation Spatial sky 16325A emission deviations (filled: sky, open: star) Spatial sky continuum emission Spatial sky telluric CO2 absorption deviations (filled: H < 10)
0 0
RedGreenBlue
z17.64
znorm Inf
sky -Inf -Inf -Inf
S/N 29.5 46.1 49.4
S/N(c) 0.0 0.0 0.0
SN(E/C) 0.78

IPAIRNAMESHIFTNEWSHIFTS/N NAMESHIFTNEWSHIFTS/N
0 06640038 0.488775 0.00000 19.0882 06640039 0.00483695 0.483938 19.0462
1 06640042 0.486941 0.00183401 19.1067 06640036 0.00000 0.488775 19.0781
2 06640037 0.487747 0.00102800 19.0718 06640043 0.00478870 0.483986 19.0375
3 06640041 0.487585 0.00119001 18.9995 06640040 0.00296683 0.485808 19.0296