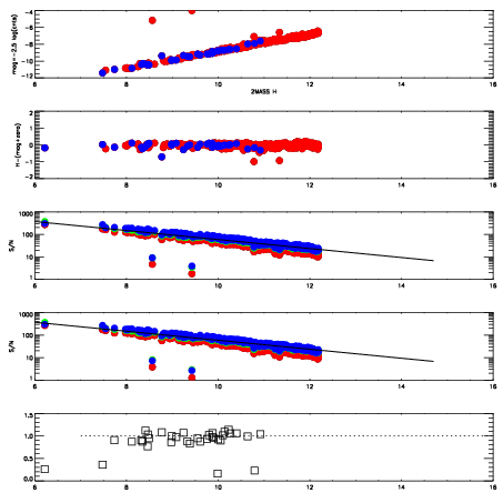
Frame | Nreads | Zeropoints | Mag plots
| Spatial mag deviation
| Spatial sky 16325A emission deviations (filled: sky, open: star)
| Spatial sky continuum emission
| Spatial sky telluric CO2 absorption deviations (filled: H < 10)
|
9980036
| 47
| | Red | Green | Blue
| z | | 18.96
| znorm | | 14.78
| sky | 14.6 | 14.4 | 14.8
| S/N | 14.3 | 23.1 | 23.4
| S/N(c) | 22.8 | 31.9 | 17.4
| SN(E/C) | 0.95
|
|
|
|
|
|
|
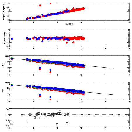
9980037
| 47
| | Red | Green | Blue
| z | | 18.93
| znorm | | 14.75
| sky | 14.8 | 14.4 | 14.9
| S/N | 14.0 | 22.9 | 23.2
| S/N(c) | 22.4 | 31.5 | 17.2
| SN(E/C) | 0.93
|
|
|
|
|
|
|
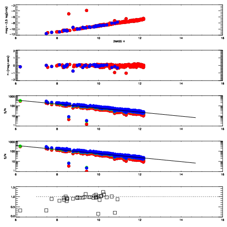
9980038
| 47
| | Red | Green | Blue
| z | | 18.86
| znorm | | 14.68
| sky | 14.6 | 14.6 | 14.9
| S/N | 13.3 | 21.9 | 22.2
| S/N(c) | 21.2 | 30.5 | 16.7
| SN(E/C) | 0.95
|
|
|
|
|
|
|
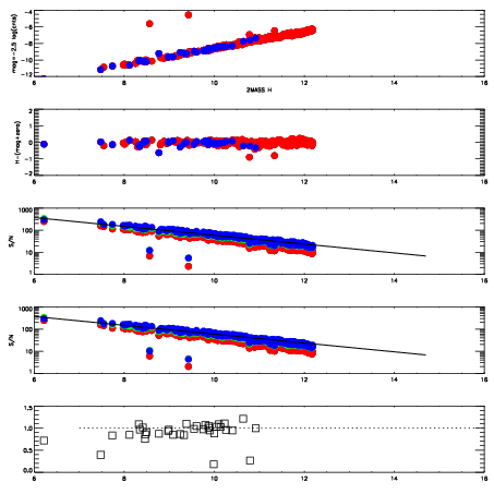
9980039
| 47
| | Red | Green | Blue
| z | | 18.86
| znorm | | 14.68
| sky | 14.9 | 14.7 | 14.8
| S/N | 13.3 | 21.9 | 22.4
| S/N(c) | 21.2 | 30.3 | 16.5
| SN(E/C) | 0.99
|
|
|
|
|
|
|
9980040
| 47
| | Red | Green | Blue
| z | | 18.61
| znorm | | 14.43
| sky | 14.7 | 14.7 | 14.7
| S/N | 11.1 | 19.1 | 19.7
| S/N(c) | 18.6 | 27.0 | 14.7
| SN(E/C) | 0.96
|
|
|
|
|
|
|
9980041
| 47
| | Red | Green | Blue
| z | | 18.74
| znorm | | 14.56
| sky | 14.7 | 14.7 | 14.8
| S/N | 12.2 | 20.6 | 21.2
| S/N(c) | 20.3 | 29.2 | 15.9
| SN(E/C) | 0.95
|
|
|
|
|
|
|
9980042
| 47
| | Red | Green | Blue
| z | | 18.57
| znorm | | 14.39
| sky | 15.0 | 14.8 | 14.7
| S/N | 10.8 | 18.7 | 19.0
| S/N(c) | 18.5 | 26.8 | 14.4
| SN(E/C) | 0.95
|
|
|
|
|
|
|
9980043
| 47
| | Red | Green | Blue
| z | | 18.55
| znorm | | 14.37
| sky | 14.8 | 14.7 | 14.7
| S/N | 10.8 | 18.5 | 19.2
| S/N(c) | 18.0 | 26.3 | 14.2
| SN(E/C) | 0.99
|
|
|
|
|
|
|