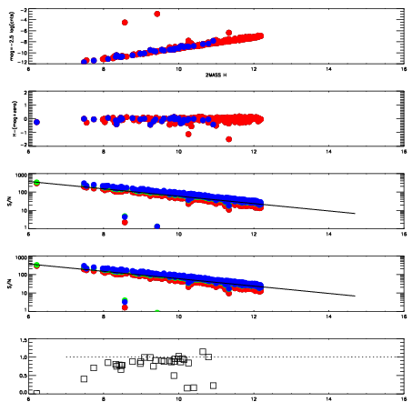
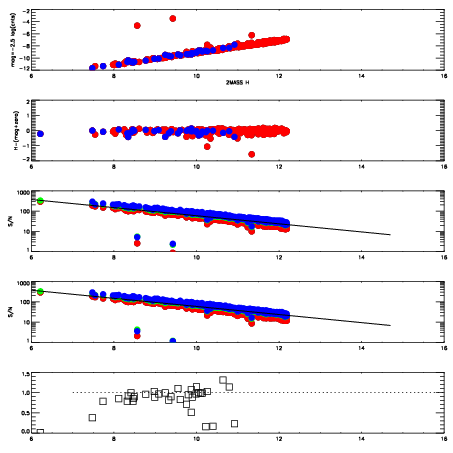
Frame | Nreads | Zeropoints | Mag plots
| Spatial mag deviation
| Spatial sky 16325A emission deviations (filled: sky, open: star)
| Spatial sky continuum emission
| Spatial sky telluric CO2 absorption deviations (filled: H < 10)
|
10150048
| 47
| | Red | Green | Blue
| z | | 19.18
| znorm | | 15.00
| sky | 14.7 | 14.3 | 14.3
| S/N | 16.5 | 26.0 | 26.2
| S/N(c) | 21.0 | 29.7 | 27.2
| SN(E/C) | 0.86
|
|
|
|
|
|
|
10150049
| 47
| | Red | Green | Blue
| z | | 19.14
| znorm | | 14.96
| sky | 14.5 | 14.4 | 14.6
| S/N | 16.0 | 25.3 | 26.4
| S/N(c) | 20.4 | 29.2 | 26.9
| SN(E/C) | 0.89
|
|
|
|
|
|
|
10150050
| 47
| | Red | Green | Blue
| z | | 19.10
| znorm | | 14.92
| sky | 14.9 | 14.5 | 14.6
| S/N | 15.3 | 24.6 | 25.8
| S/N(c) | 19.8 | 28.6 | 26.5
| SN(E/C) | 0.91
|
|
|
|
|
|
|
10150051
| 47
| | Red | Green | Blue
| z | | 19.15
| znorm | | 14.97
| sky | 15.1 | 14.5 | 14.6
| S/N | 15.9 | 25.4 | 26.8
| S/N(c) | 20.6 | 29.3 | 27.1
| SN(E/C) | 0.86
|
|
|
|
|
|
|
10150052
| 47
| | Red | Green | Blue
| z | | 19.16
| znorm | | 14.98
| sky | 14.7 | 14.6 | 14.5
| S/N | 15.7 | 25.7 | 27.0
| S/N(c) | 20.5 | 29.3 | 27.6
| SN(E/C) | 0.88
|
|
|
|
|
|
|
10150053
| 47
| | Red | Green | Blue
| z | | 19.20
| znorm | | 15.02
| sky | 14.9 | 14.5 | 14.7
| S/N | 16.6 | 26.2 | 27.9
| S/N(c) | 20.8 | 29.9 | 28.3
| SN(E/C) | 0.89
|
|
|
|
|
|
|
10150054
| 47
| | Red | Green | Blue
| z | | 19.22
| znorm | | 15.04
| sky | 14.6 | 14.7 | 14.7
| S/N | 16.7 | 26.3 | 28.1
| S/N(c) | 20.8 | 30.0 | 28.4
| SN(E/C) | 0.88
|
|
|
|
|
|
|
10150055
| 47
| | Red | Green | Blue
| z | | 19.23
| znorm | | 15.05
| sky | 14.8 | 14.6 | 14.6
| S/N | 16.6 | 26.3 | 28.5
| S/N(c) | 20.9 | 30.0 | 28.3
| SN(E/C) | 0.87
|
|
|
|
|
|
|