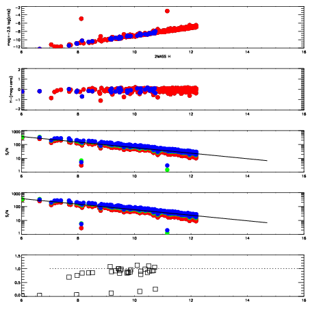
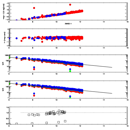
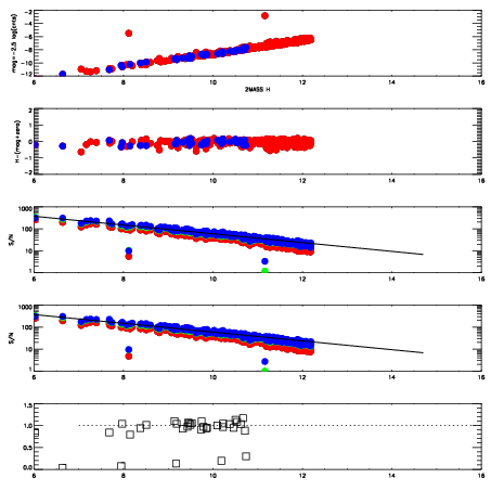
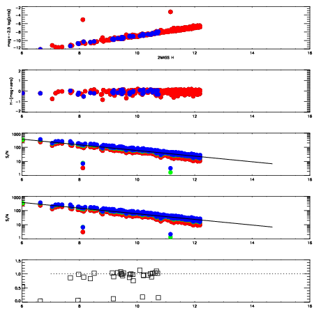
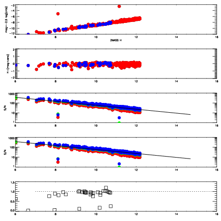
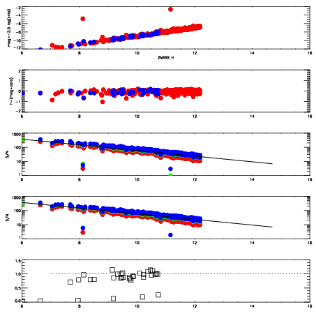
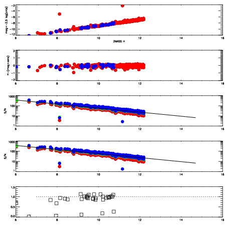
Frame | Nreads | Zeropoints | Mag plots
| Spatial mag deviation
| Spatial sky 16325A emission deviations (filled: sky, open: star)
| Spatial sky continuum emission
| Spatial sky telluric CO2 absorption deviations (filled: H < 10)
|
6650048
| 47
| | Red | Green | Blue
| z | | 18.63
| znorm | | 14.45
| sky | 14.9 | 14.3 | 14.2
| S/N | 11.7 | 19.9 | 18.8
| S/N(c) | 14.1 | 19.2 | 5.0
| SN(E/C) | 0.97
|
|
|
|
|
|
|
6650049
| 47
| | Red | Green | Blue
| z | | 18.94
| znorm | | 14.76
| sky | 14.7 | 14.5 | 14.6
| S/N | 13.8 | 23.2 | 23.1
| S/N(c) | 16.5 | 22.2 | 5.8
| SN(E/C) | 0.97
|
|
|
|
|
|
|
6650050
| 47
| | Red | Green | Blue
| z | | 18.98
| znorm | | 14.80
| sky | 14.6 | 14.5 | 14.4
| S/N | 13.8 | 23.1 | 24.0
| S/N(c) | 17.1 | 22.8 | 6.0
| SN(E/C) | 0.93
|
|
|
|
|
|
|
6650051
| 47
| | Red | Green | Blue
| z | | 18.96
| znorm | | 14.78
| sky | 14.8 | 14.5 | 14.5
| S/N | 13.8 | 22.9 | 24.0
| S/N(c) | 16.8 | 22.5 | 5.9
| SN(E/C) | 0.94
|
|
|
|
|
|
|
6650052
| 47
| | Red | Green | Blue
| z | | 18.95
| znorm | | 14.77
| sky | 14.8 | 14.5 | 14.5
| S/N | 13.4 | 22.5 | 23.5
| S/N(c) | 16.8 | 22.3 | 6.0
| SN(E/C) | 0.94
|
|
|
|
|
|
|
6650053
| 47
| | Red | Green | Blue
| z | | 19.00
| znorm | | 14.82
| sky | 14.6 | 14.6 | 14.6
| S/N | 13.8 | 23.4 | 24.6
| S/N(c) | 17.3 | 22.8 | 6.1
| SN(E/C) | 0.92
|
|
|
|
|
|
|
6650054
| 47
| | Red | Green | Blue
| z | | 19.02
| znorm | | 14.84
| sky | 14.7 | 14.5 | 14.5
| S/N | 14.5 | 23.7 | 24.5
| S/N(c) | 17.3 | 23.1 | 6.2
| SN(E/C) | 0.88
|
|
|
|
|
|
|
6650055
| 47
| | Red | Green | Blue
| z | | 19.06
| znorm | | 14.88
| sky | 14.6 | 14.6 | 14.4
| S/N | 14.5 | 24.3 | 25.2
| S/N(c) | 17.8 | 23.5 | 6.3
| SN(E/C) | 0.89
|
|
|
|
|
|
|