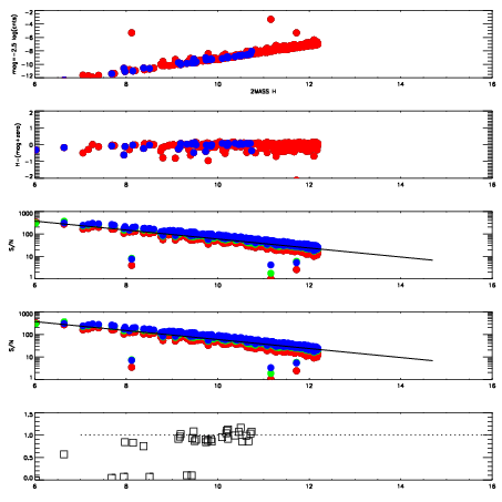
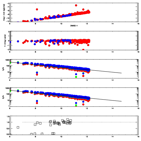
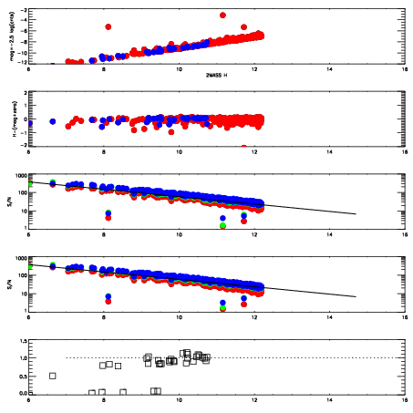
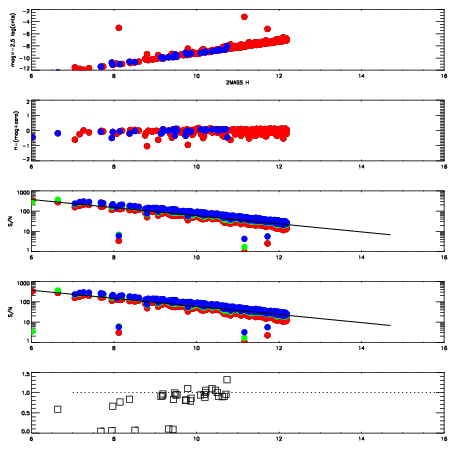
Frame | Nreads | Zeropoints | Mag plots
| Spatial mag deviation
| Spatial sky 16325A emission deviations (filled: sky, open: star)
| Spatial sky continuum emission
| Spatial sky telluric CO2 absorption deviations (filled: H < 10)
|
6930027
| 47
| | Red | Green | Blue
| z | | 19.07
| znorm | | 14.89
| sky | 14.6 | 14.1 | 14.1
| S/N | 15.3 | 24.1 | 24.8
| S/N(c) | 19.7 | 24.0 | 6.3
| SN(E/C) | 0.92
|
|
|
|
|
|
|
6930028
| 47
| | Red | Green | Blue
| z | | 19.13
| znorm | | 14.95
| sky | 14.5 | 14.1 | 14.3
| S/N | 15.9 | 25.4 | 26.6
| S/N(c) | 20.2 | 24.7 | 6.5
| SN(E/C) | 0.93
|
|
|
|
|
|
|
6930029
| 47
| | Red | Green | Blue
| z | | 19.14
| znorm | | 14.96
| sky | 14.7 | 14.2 | 14.3
| S/N | 16.1 | 25.7 | 27.0
| S/N(c) | 20.3 | 24.7 | 6.6
| SN(E/C) | 0.94
|
|
|
|
|
|
|
6930030
| 47
| | Red | Green | Blue
| z | | 19.15
| znorm | | 14.97
| sky | 14.8 | 14.3 | 14.3
| S/N | 16.5 | 26.7 | 27.8
| S/N(c) | 20.3 | 24.9 | 6.7
| SN(E/C) | 0.90
|
|
|
|
|
|
|
6930031
| 47
| | Red | Green | Blue
| z | | 19.15
| znorm | | 14.97
| sky | 14.6 | 14.3 | 14.4
| S/N | 16.5 | 26.9 | 28.0
| S/N(c) | 20.3 | 24.9 | 6.7
| SN(E/C) | 0.90
|
|
|
|
|
|
|
6930032
| 47
| | Red | Green | Blue
| z | | 19.17
| znorm | | 14.99
| sky | 14.6 | 14.4 | 14.4
| S/N | 16.3 | 26.9 | 28.1
| S/N(c) | 20.7 | 25.3 | 6.8
| SN(E/C) | 0.91
|
|
|
|
|
|
|
6930033
| 47
| | Red | Green | Blue
| z | | 19.19
| znorm | | 15.01
| sky | 14.7 | 14.3 | 14.3
| S/N | 16.6 | 27.2 | 28.4
| S/N(c) | 20.8 | 25.6 | 6.8
| SN(E/C) | 0.89
|
|
|
|
|
|
|
6930034
| 47
| | Red | Green | Blue
| z | | 19.19
| znorm | | 15.01
| sky | 14.6 | 14.4 | 14.4
| S/N | 17.1 | 27.4 | 28.8
| S/N(c) | 20.8 | 25.2 | 6.9
| SN(E/C) | 0.90
|
|
|
|
|
|
|