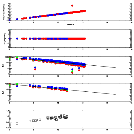
Left plots: red are targets, blue are telluric. Observed mags are calculated from median value of green chip. Zeropoint gives overall throughput: bigger number is more throughput.
First spatial plots: circles are objects, squares are tellurics, crosses are sky fibers. Colors give deviation of observed mag from expected 2MASS mag using the median zeropoint; red is brighter
Second spatial plots: circles are sky fibers. Colors give sky line brightness relative to plate median sky line brightness
FrameNreadsZeropointsMag plots Spatial mag deviation Spatial sky 16325A emission deviations (filled: sky, open: star) Spatial sky continuum emission Spatial sky telluric CO2 absorption deviations (filled: H < 10)
0 0
RedGreenBlue
z17.64
znorm Inf
sky -NaN -Inf -NaN
S/N 29.0 49.0 52.3
S/N(c) 0.0 0.0 0.0
SN(E/C) 0.85

IPAIRNAMESHIFTNEWSHIFTS/N NAMESHIFTNEWSHIFTS/N
0 06930033 0.498594 0.00000 19.1877 06930034 0.00543682 0.493157 19.1824
1 06930032 0.498177 0.000416994 19.1704 06930030 0.00215678 0.496437 19.1447
2 06930029 0.494570 0.00402400 19.1339 06930031 0.000718737 0.497875 19.1405
3 06930028 0.494397 0.00419697 19.1108 06930027 0.00000 0.498594 19.0508