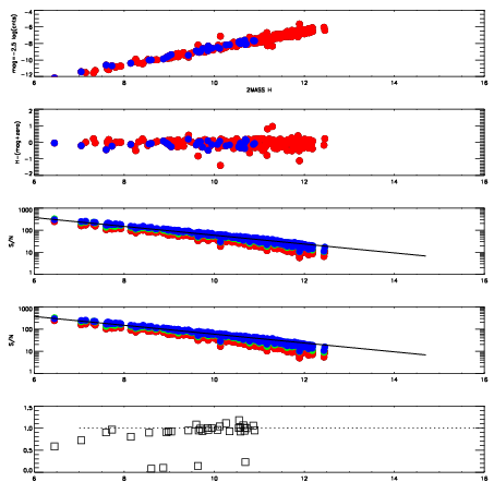
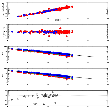
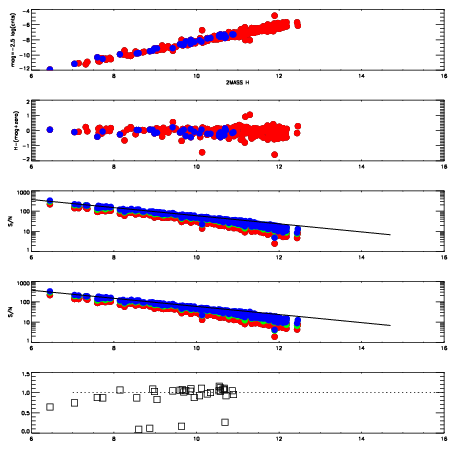
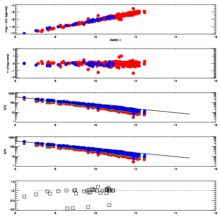
Left plots: red are targets, blue are telluric. Observed mags are calculated from median value of green chip. Zeropoint gives overall throughput: bigger number is more throughput.
First spatial plots: circles are objects, squares are tellurics, crosses are sky fibers. Colors give deviation of observed mag from expected 2MASS mag using the median zeropoint; red is brighter
Second spatial plots: circles are sky fibers. Colors give sky line brightness relative to plate median sky line brightness
FrameNreadsZeropointsMag plots Spatial mag deviation Spatial sky 16325A emission deviations (filled: sky, open: star) Spatial sky continuum emission Spatial sky telluric CO2 absorption deviations (filled: H < 10)
6720043 47
RedGreenBlue
z18.84
znorm14.66
sky 13.9 13.7 13.8
S/N 13.3 20.9 21.2
S/N(c) 17.5 11.9 20.8
SN(E/C) 0.94
6720044 47
RedGreenBlue
z18.33
znorm14.15
sky 13.4 13.4 13.5
S/N 8.8 14.8 15.1
S/N(c) 12.7 8.9 15.1
SN(E/C) 0.99
6720045 47
RedGreenBlue
z18.31
znorm14.13
sky 13.1 13.0 13.1
S/N 8.2 13.6 13.8
S/N(c) 12.0 8.5 14.9
SN(E/C) 1.03
6720046 47
RedGreenBlue
z18.66
znorm14.48
sky 13.7 13.6 13.6
S/N 11.3 18.8 19.0
S/N(c) 15.5 10.7 18.3
SN(E/C) 0.95