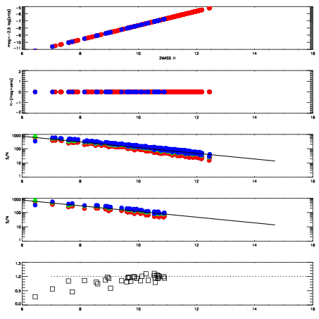
Left plots: red are targets, blue are telluric. Observed mags are calculated from median value of green chip. Zeropoint gives overall throughput: bigger number is more throughput.
First spatial plots: circles are objects, squares are tellurics, crosses are sky fibers. Colors give deviation of observed mag from expected 2MASS mag using the median zeropoint; red is brighter
Second spatial plots: circles are sky fibers. Colors give sky line brightness relative to plate median sky line brightness
FrameNreadsZeropointsMag plots Spatial mag deviation Spatial sky 16325A emission deviations (filled: sky, open: star) Spatial sky continuum emission Spatial sky telluric CO2 absorption deviations (filled: H < 10)
0 0
RedGreenBlue
z17.64
znorm Inf
sky -Inf -Inf -Inf
S/N 27.3 45.5 47.3
S/N(c) 0.0 0.0 0.0
SN(E/C) 0.93

IPAIRNAMESHIFTNEWSHIFTS/N NAMESHIFTNEWSHIFTS/N
0 06920054 0.499964 0.00000 18.9843 06920055 0.00503797 0.494926 18.9992
1 06920057 0.498668 0.00129601 19.0743 06920059 0.00367489 0.496289 19.1092
2 06920058 0.498565 0.00139901 19.0648 06920056 0.00317236 0.496792 19.0220
3 06920053 0.499249 0.000714988 18.9154 06920052 0.00000 0.499964 18.8807