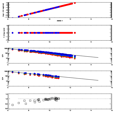
Left plots: red are targets, blue are telluric. Observed mags are calculated from median value of green chip. Zeropoint gives overall throughput: bigger number is more throughput.
First spatial plots: circles are objects, squares are tellurics, crosses are sky fibers. Colors give deviation of observed mag from expected 2MASS mag using the median zeropoint; red is brighter
Second spatial plots: circles are sky fibers. Colors give sky line brightness relative to plate median sky line brightness
FrameNreadsZeropointsMag plots Spatial mag deviation Spatial sky 16325A emission deviations (filled: sky, open: star) Spatial sky continuum emission Spatial sky telluric CO2 absorption deviations (filled: H < 10)
0 0
RedGreenBlue
z17.64
znorm Inf
sky -Inf -Inf -Inf
S/N 19.0 31.1 33.4
S/N(c) 0.0 0.0 0.0
SN(E/C) 0.93

IPAIRNAMESHIFTNEWSHIFTS/N NAMESHIFTNEWSHIFTS/N
0 06980050 0.483411 0.00000 18.3514 06980051 0.00279155 0.480619 18.0801
1 06980054 0.483367 4.40180e-05 18.8142 06980055 0.00262093 0.480790 19.0615
2 06980053 0.482479 0.000932008 18.7989 06980048 0.00000 0.483411 18.8937
3 06980049 0.482838 0.000573009 18.4772 06980052 0.00120351 0.482208 18.4908