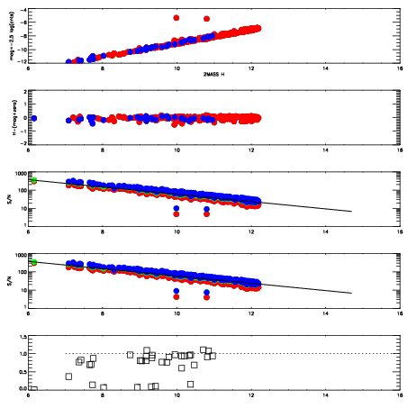
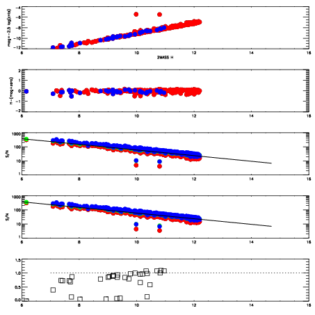
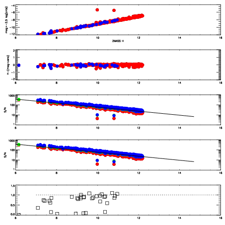
Left plots: red are targets, blue are telluric. Observed mags are calculated from median value of green chip. Zeropoint gives overall throughput: bigger number is more throughput.
First spatial plots: circles are objects, squares are tellurics, crosses are sky fibers. Colors give deviation of observed mag from expected 2MASS mag using the median zeropoint; red is brighter
Second spatial plots: circles are sky fibers. Colors give sky line brightness relative to plate median sky line brightness
FrameNreadsZeropointsMag plots Spatial mag deviation Spatial sky 16325A emission deviations (filled: sky, open: star) Spatial sky continuum emission Spatial sky telluric CO2 absorption deviations (filled: H < 10)
6120029 47
RedGreenBlue
z19.14
znorm14.96
sky 14.4 14.3 14.4
S/N 16.3 25.4 25.1
S/N(c) 22.7 27.3 26.2
SN(E/C) 0.85
6120030 47
RedGreenBlue
z19.14
znorm14.96
sky 14.2 14.4 14.8
S/N 16.0 25.5 25.7
S/N(c) 22.4 27.3 26.2
SN(E/C) 0.81
6120031 47
RedGreenBlue
z19.15
znorm14.97
sky 14.4 14.4 14.8
S/N 16.3 25.5 25.7
S/N(c) 22.7 27.6 26.4
SN(E/C) 0.84
6120032 47
RedGreenBlue
z19.15
znorm14.97
sky 14.7 14.6 14.8
S/N 16.3 25.9 26.0
S/N(c) 22.6 27.5 26.7
SN(E/C) 0.83
6120033 47
RedGreenBlue
z19.12
znorm14.94
sky 14.7 14.5 14.9
S/N 15.9 25.4 26.1
S/N(c) 22.4 27.4 26.6
SN(E/C) 0.81
6120034 47
RedGreenBlue
z18.98
znorm14.80
sky 14.5 14.7 15.0
S/N 14.6 23.5 24.1
S/N(c) 20.7 25.5 24.3
SN(E/C) 0.90