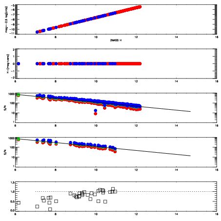
Left plots: red are targets, blue are telluric. Observed mags are calculated from median value of green chip. Zeropoint gives overall throughput: bigger number is more throughput.
First spatial plots: circles are objects, squares are tellurics, crosses are sky fibers. Colors give deviation of observed mag from expected 2MASS mag using the median zeropoint; red is brighter
Second spatial plots: circles are sky fibers. Colors give sky line brightness relative to plate median sky line brightness
FrameNreadsZeropointsMag plots Spatial mag deviation Spatial sky 16325A emission deviations (filled: sky, open: star) Spatial sky continuum emission Spatial sky telluric CO2 absorption deviations (filled: H < 10)
0 0
RedGreenBlue
z17.64
znorm Inf
sky -NaN -NaN -Inf
S/N 29.0 45.7 49.6
S/N(c) 0.0 0.0 0.0
SN(E/C) 0.82

IPAIRNAMESHIFTNEWSHIFTS/N NAMESHIFTNEWSHIFTS/N
0 06690057 0.484408 0.00000 19.1357 06690058 0.00674359 0.477664 19.1191
1 06690056 0.484130 0.000277996 19.1273 06690051 0.00000 0.484408 19.0902
2 06690052 0.482760 0.00164798 19.0304 06690055 0.000503748 0.483904 19.0830
3 06690053 0.483351 0.00105700 18.9877 06690054 0.00402596 0.480382 19.0510