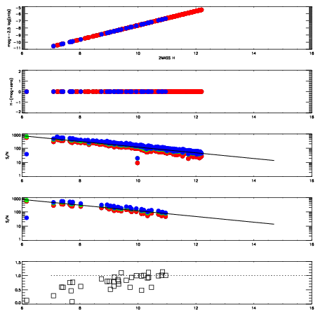
Left plots: red are targets, blue are telluric. Observed mags are calculated from median value of green chip. Zeropoint gives overall throughput: bigger number is more throughput.
First spatial plots: circles are objects, squares are tellurics, crosses are sky fibers. Colors give deviation of observed mag from expected 2MASS mag using the median zeropoint; red is brighter
Second spatial plots: circles are sky fibers. Colors give sky line brightness relative to plate median sky line brightness
FrameNreadsZeropointsMag plots Spatial mag deviation Spatial sky 16325A emission deviations (filled: sky, open: star) Spatial sky continuum emission Spatial sky telluric CO2 absorption deviations (filled: H < 10)
0 0
RedGreenBlue
z17.64
znorm Inf
sky -Inf -Inf -Inf
S/N 27.3 46.1 49.3
S/N(c) 0.0 0.0 0.0
SN(E/C) 0.80

IPAIRNAMESHIFTNEWSHIFTS/N NAMESHIFTNEWSHIFTS/N
0 06740027 0.492813 0.00000 19.1072 06740032 0.00317165 0.489641 19.0967
1 06740030 0.489856 0.00295699 19.1516 06740029 7.94742e-05 0.492734 19.1325
2 06740031 0.490831 0.00198200 19.1339 06740028 -0.000717748 0.493531 19.1318
3 06740026 0.491488 0.00132498 19.1038 06740025 0.00000 0.492813 19.0388