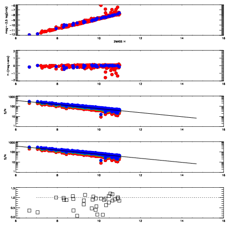
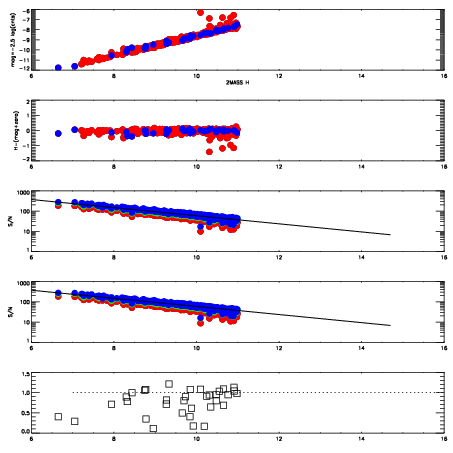
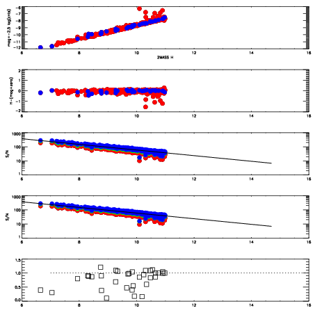
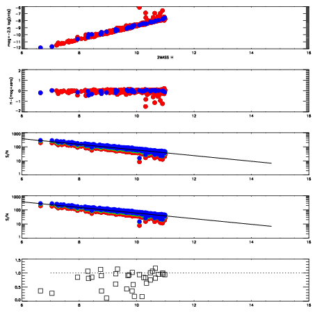
Frame | Nreads | Zeropoints | Mag plots
| Spatial mag deviation
| Spatial sky 16325A emission deviations (filled: sky, open: star)
| Spatial sky continuum emission
| Spatial sky telluric CO2 absorption deviations (filled: H < 10)
|
8760063
| 47
| | Red | Green | Blue
| z | | 18.61
| znorm | | 14.43
| sky | 14.6 | 14.3 | 14.4
| S/N | 14.2 | 20.7 | 22.4
| S/N(c) | 9.5 | 6.3 | 8.2
| SN(E/C) | 0.89
|
|
|
|
|
|
|
8760064
| 47
| | Red | Green | Blue
| z | | 18.65
| znorm | | 14.47
| sky | 14.4 | 14.3 | 14.5
| S/N | 14.5 | 21.2 | 23.0
| S/N(c) | 9.7 | 6.4 | 8.4
| SN(E/C) | 0.90
|
|
|
|
|
|
|
8760065
| 47
| | Red | Green | Blue
| z | | 18.67
| znorm | | 14.49
| sky | 14.5 | 14.4 | 14.4
| S/N | 14.6 | 21.5 | 23.2
| S/N(c) | 9.7 | 6.5 | 8.4
| SN(E/C) | 0.93
|
|
|
|
|
|
|
8760066
| 47
| | Red | Green | Blue
| z | | 18.70
| znorm | | 14.52
| sky | 14.6 | 14.4 | 14.5
| S/N | 14.8 | 21.7 | 23.6
| S/N(c) | 9.9 | 6.6 | 8.6
| SN(E/C) | 0.85
|
|
|
|
|
|
|
8760067
| 47
| | Red | Green | Blue
| z | | 18.73
| znorm | | 14.55
| sky | 14.4 | 14.4 | 14.5
| S/N | 14.9 | 22.1 | 23.9
| S/N(c) | 10.1 | 6.7 | 8.7
| SN(E/C) | 0.89
|
|
|
|
|
|
|
8760068
| 47
| | Red | Green | Blue
| z | | 18.57
| znorm | | 14.39
| sky | 14.5 | 14.5 | 14.5
| S/N | 13.6 | 20.4 | 22.1
| S/N(c) | 9.2 | 6.3 | 8.0
| SN(E/C) | 0.89
|
|
|
|
|
|
|
8760069
| 47
| | Red | Green | Blue
| z | | 18.63
| znorm | | 14.45
| sky | 14.6 | 14.4 | 14.5
| S/N | 14.0 | 21.1 | 22.9
| S/N(c) | 9.5 | 6.4 | 8.4
| SN(E/C) | 0.89
|
|
|
|
|
|
|
8760070
| 47
| | Red | Green | Blue
| z | | 18.57
| znorm | | 14.39
| sky | 14.5 | 14.6 | 14.5
| S/N | 13.5 | 20.5 | 22.2
| S/N(c) | 9.2 | 6.2 | 8.0
| SN(E/C) | 0.95
|
|
|
|
|
|
|