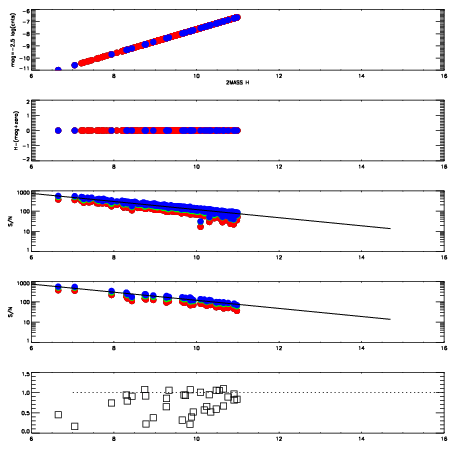
Left plots: red are targets, blue are telluric. Observed mags are calculated from median value of green chip. Zeropoint gives overall throughput: bigger number is more throughput.
First spatial plots: circles are objects, squares are tellurics, crosses are sky fibers. Colors give deviation of observed mag from expected 2MASS mag using the median zeropoint; red is brighter
Second spatial plots: circles are sky fibers. Colors give sky line brightness relative to plate median sky line brightness
FrameNreadsZeropointsMag plots Spatial mag deviation Spatial sky 16325A emission deviations (filled: sky, open: star) Spatial sky continuum emission Spatial sky telluric CO2 absorption deviations (filled: H < 10)
0 0
RedGreenBlue
z17.64
znorm Inf
sky -NaN -Inf -Inf
S/N 26.2 40.4 43.8
S/N(c) 0.0 0.0 0.0
SN(E/C) 0.83

IPAIRNAMESHIFTNEWSHIFTS/N NAMESHIFTNEWSHIFTS/N
0 08760064 0.473613 0.00000 18.6509 08760066 0.00232840 0.471285 18.6999
1 08760065 0.472906 0.000707000 18.6687 08760067 0.00162064 0.471992 18.7314
2 08760069 0.470798 0.00281501 18.6337 08760063 0.00000 0.473613 18.6070
3 08760068 0.471164 0.00244901 18.5705 08760070 0.00343495 0.470178 18.5721