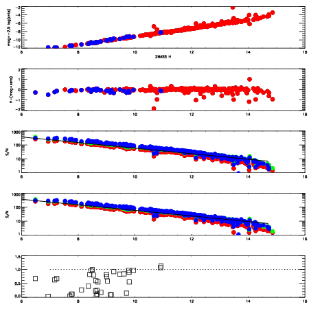
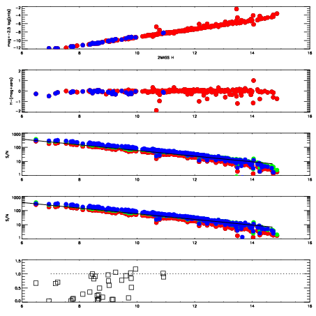
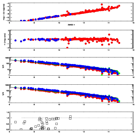
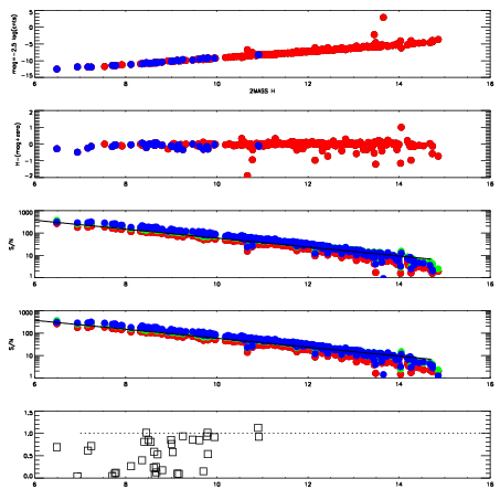
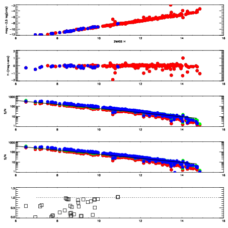
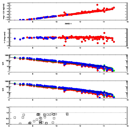
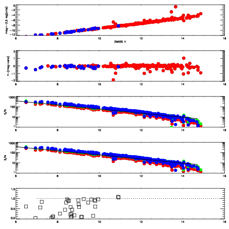
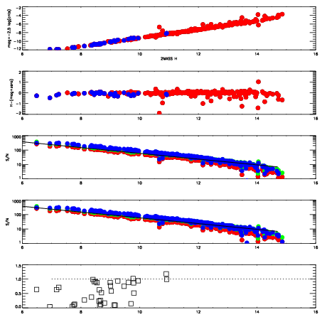
Frame | Nreads | Zeropoints | Mag plots
| Spatial mag deviation
| Spatial sky 16325A emission deviations (filled: sky, open: star)
| Spatial sky continuum emission
| Spatial sky telluric CO2 absorption deviations (filled: H < 10)
|
6060058
| 47
| | Red | Green | Blue
| z | | 19.23
| znorm | | 15.05
| sky | 14.5 | 14.3 | 14.4
| S/N | 18.3 | 28.2 | 28.4
| S/N(c) | 23.0 | 30.4 | 30.8
| SN(E/C) | 0.58
|
|
|
|
|
|
|
6060059
| 47
| | Red | Green | Blue
| z | | 19.25
| znorm | | 15.07
| sky | 14.5 | 14.3 | 14.5
| S/N | 18.4 | 28.7 | 28.7
| S/N(c) | 23.2 | 30.9 | 31.3
| SN(E/C) | 0.60
|
|
|
|
|
|
|
6060060
| 47
| | Red | Green | Blue
| z | | 19.26
| znorm | | 15.08
| sky | 14.5 | 14.5 | 14.5
| S/N | 18.3 | 28.9 | 28.9
| S/N(c) | 23.4 | 31.2 | 31.8
| SN(E/C) | 0.59
|
|
|
|
|
|
|
6060061
| 47
| | Red | Green | Blue
| z | | 19.25
| znorm | | 15.07
| sky | 14.6 | 14.4 | 14.5
| S/N | 18.6 | 28.8 | 28.3
| S/N(c) | 23.1 | 30.9 | 31.6
| SN(E/C) | 0.59
|
|
|
|
|
|
|
6060062
| 47
| | Red | Green | Blue
| z | | 19.25
| znorm | | 15.07
| sky | 14.5 | 14.4 | 14.5
| S/N | 18.4 | 28.8 | 28.5
| S/N(c) | 22.9 | 30.8 | 31.8
| SN(E/C) | 0.57
|
|
|
|
|
|
|
6060063
| 47
| | Red | Green | Blue
| z | | 19.27
| znorm | | 15.09
| sky | 14.4 | 14.5 | 14.5
| S/N | 18.7 | 29.3 | 29.0
| S/N(c) | 23.3 | 31.2 | 32.1
| SN(E/C) | 0.53
|
|
|
|
|
|
|
6060064
| 47
| | Red | Green | Blue
| z | | 19.26
| znorm | | 15.08
| sky | 14.3 | 14.4 | 14.5
| S/N | 18.7 | 28.9 | 29.0
| S/N(c) | 23.2 | 30.9 | 32.2
| SN(E/C) | 0.63
|
|
|
|
|
|
|
6060065
| 47
| | Red | Green | Blue
| z | | 19.26
| znorm | | 15.08
| sky | 14.7 | 14.4 | 14.5
| S/N | 18.5 | 28.9 | 29.0
| S/N(c) | 23.3 | 30.9 | 32.2
| SN(E/C) | 0.58
|
|
|
|
|
|
|