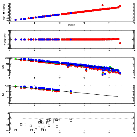
Left plots: red are targets, blue are telluric. Observed mags are calculated from median value of green chip. Zeropoint gives overall throughput: bigger number is more throughput.
First spatial plots: circles are objects, squares are tellurics, crosses are sky fibers. Colors give deviation of observed mag from expected 2MASS mag using the median zeropoint; red is brighter
Second spatial plots: circles are sky fibers. Colors give sky line brightness relative to plate median sky line brightness
FrameNreadsZeropointsMag plots Spatial mag deviation Spatial sky 16325A emission deviations (filled: sky, open: star) Spatial sky continuum emission Spatial sky telluric CO2 absorption deviations (filled: H < 10)
0 0
RedGreenBlue
z17.64
znorm Inf
sky -Inf -Inf -Inf
S/N 33.9 54.1 54.6
S/N(c) 0.0 0.0 0.0
SN(E/C) 0.65

IPAIRNAMESHIFTNEWSHIFTS/N NAMESHIFTNEWSHIFTS/N
0 06100091 0.485076 0.00000 19.2345 06100092 0.00282295 0.482253 19.0510
1 06100087 0.484412 0.000663996 19.2564 06100088 0.000343602 0.484732 19.2595
2 06100090 0.484638 0.000438005 19.2563 06100089 0.000565570 0.484510 19.2488
3 06100086 0.484438 0.000638008 19.2535 06100085 0.00000 0.485076 19.2444