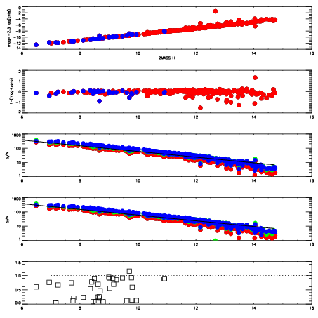
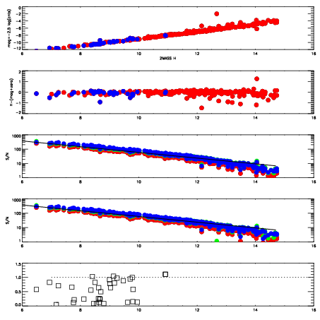
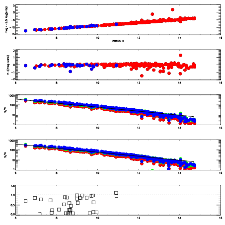
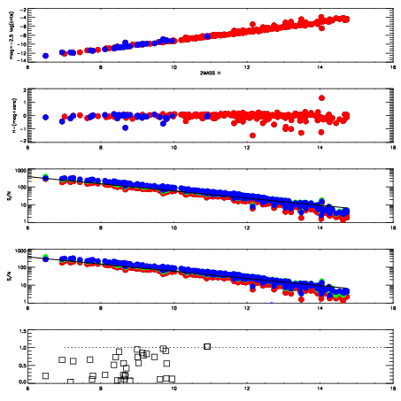
Left plots: red are targets, blue are telluric. Observed mags are calculated from median value of green chip. Zeropoint gives overall throughput: bigger number is more throughput.
First spatial plots: circles are objects, squares are tellurics, crosses are sky fibers. Colors give deviation of observed mag from expected 2MASS mag using the median zeropoint; red is brighter
Second spatial plots: circles are sky fibers. Colors give sky line brightness relative to plate median sky line brightness
FrameNreadsZeropointsMag plots Spatial mag deviation Spatial sky 16325A emission deviations (filled: sky, open: star) Spatial sky continuum emission Spatial sky telluric CO2 absorption deviations (filled: H < 10)
6120020 47
RedGreenBlue
z19.01
znorm14.83
sky 13.8 13.8 13.8
S/N 16.4 24.8 23.9
S/N(c) 18.5 10.1 27.8
SN(E/C) 0.58
6120021 47
RedGreenBlue
z19.20
znorm15.02
sky 14.2 14.3 14.4
S/N 18.6 28.4 27.8
S/N(c) 20.8 11.0 30.0
SN(E/C) 0.55
6120024 47
RedGreenBlue
z18.92
znorm14.74
sky 13.8 13.8 13.7
S/N 15.2 23.7 22.6
S/N(c) 17.8 9.6 26.3
SN(E/C) 0.61
6120025 47
RedGreenBlue
z19.13
znorm14.95
sky 14.1 14.4 14.5
S/N 17.1 27.3 26.7
S/N(c) 20.0 10.7 29.2
SN(E/C) 0.58