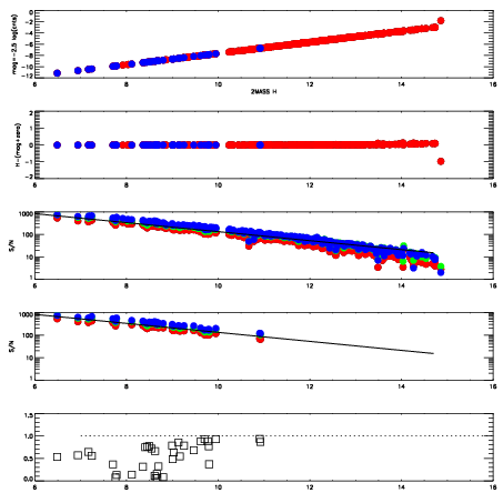
Left plots: red are targets, blue are telluric. Observed mags are calculated from median value of green chip. Zeropoint gives overall throughput: bigger number is more throughput.
First spatial plots: circles are objects, squares are tellurics, crosses are sky fibers. Colors give deviation of observed mag from expected 2MASS mag using the median zeropoint; red is brighter
Second spatial plots: circles are sky fibers. Colors give sky line brightness relative to plate median sky line brightness
FrameNreadsZeropointsMag plots Spatial mag deviation Spatial sky 16325A emission deviations (filled: sky, open: star) Spatial sky continuum emission Spatial sky telluric CO2 absorption deviations (filled: H < 10)
0 0
RedGreenBlue
z17.64
znorm Inf
sky -Inf -Inf -Inf
S/N 38.3 60.4 59.1
S/N(c) 0.0 0.0 0.0
SN(E/C) 0.63

IPAIRNAMESHIFTNEWSHIFTS/N NAMESHIFTNEWSHIFTS/N
0 07000046 0.481185 0.00000 19.1625 07000044 0.00134657 0.479838 19.1515
1 07000038 0.477862 0.00332299 19.2317 07000045 -6.02893e-05 0.481245 19.2202
2 07000039 0.480650 0.000534981 19.1927 07000040 0.00115839 0.480027 19.1565
3 07000042 0.480381 0.000803977 19.1329 07000041 -0.000224991 0.481410 19.1300
4 07000043 0.480840 0.000344992 19.1312 07000037 0.00000 0.481185 19.1237