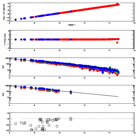
Left plots: red are targets, blue are telluric. Observed mags are calculated from median value of green chip. Zeropoint gives overall throughput: bigger number is more throughput.
First spatial plots: circles are objects, squares are tellurics, crosses are sky fibers. Colors give deviation of observed mag from expected 2MASS mag using the median zeropoint; red is brighter
Second spatial plots: circles are sky fibers. Colors give sky line brightness relative to plate median sky line brightness
FrameNreadsZeropointsMag plots Spatial mag deviation Spatial sky 16325A emission deviations (filled: sky, open: star) Spatial sky continuum emission Spatial sky telluric CO2 absorption deviations (filled: H < 10)
0 0
RedGreenBlue
z17.64
znorm Inf
sky -Inf -Inf -Inf
S/N 26.2 44.2 42.2
S/N(c) 0.0 0.0 0.0
SN(E/C) 0.71

IPAIRNAMESHIFTNEWSHIFTS/N NAMESHIFTNEWSHIFTS/N
0 07200032 0.476649 0.00000 18.6535 07200033 0.00305424 0.473595 18.7132
1 07200027 0.474072 0.00257698 18.9344 07200026 0.00000 0.476649 18.9548
2 07200028 0.474656 0.00199300 18.8741 07200029 0.000264040 0.476385 18.9102
3 07200031 0.476294 0.000354975 18.7428 07200030 0.00151033 0.475139 18.8257