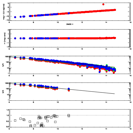
Left plots: red are targets, blue are telluric. Observed mags are calculated from median value of green chip. Zeropoint gives overall throughput: bigger number is more throughput.
First spatial plots: circles are objects, squares are tellurics, crosses are sky fibers. Colors give deviation of observed mag from expected 2MASS mag using the median zeropoint; red is brighter
Second spatial plots: circles are sky fibers. Colors give sky line brightness relative to plate median sky line brightness
FrameNreadsZeropointsMag plots Spatial mag deviation Spatial sky 16325A emission deviations (filled: sky, open: star) Spatial sky continuum emission Spatial sky telluric CO2 absorption deviations (filled: H < 10)
0 0
RedGreenBlue
z17.64
znorm Inf
sky -Inf -Inf -Inf
S/N 28.5 47.1 45.2
S/N(c) 0.0 0.0 0.0
SN(E/C) 0.73

IPAIRNAMESHIFTNEWSHIFTS/N NAMESHIFTNEWSHIFTS/N
0 07210028 0.484033 0.00000 18.9668 07210033 0.00186321 0.482170 18.9275
1 07210032 0.483819 0.000213981 19.1042 07210029 -0.00205956 0.486093 19.0227
2 07210031 0.483678 0.000354975 18.9829 07210030 -0.00186274 0.485896 18.9422
3 07210027 0.483685 0.000348002 18.8803 07210026 0.00000 0.484033 18.8137