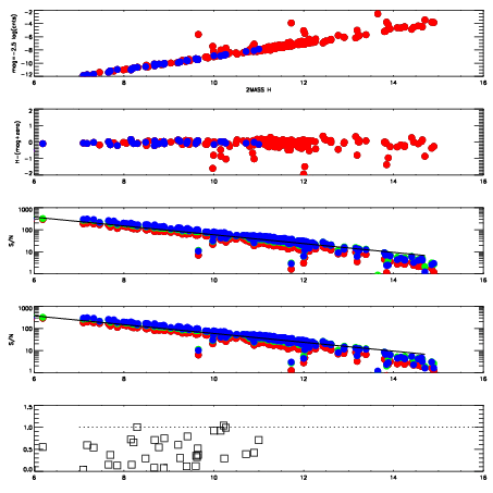
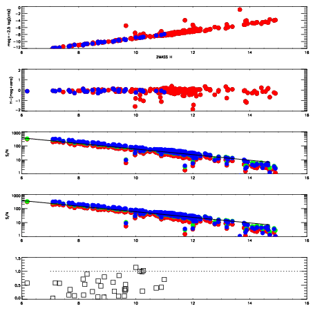
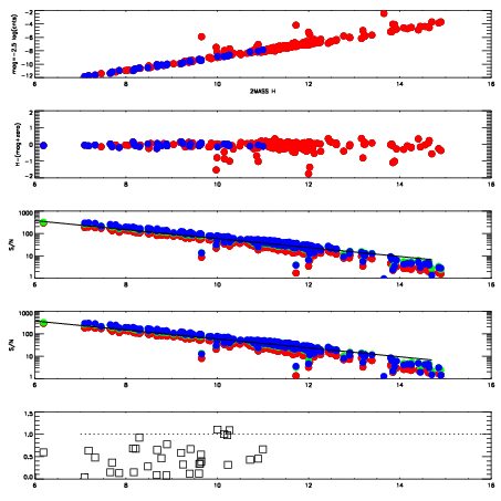
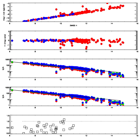
Frame | Nreads | Zeropoints | Mag plots
| Spatial mag deviation
| Spatial sky 16325A emission deviations (filled: sky, open: star)
| Spatial sky continuum emission
| Spatial sky telluric CO2 absorption deviations (filled: H < 10)
|
9990037
| 47
| | Red | Green | Blue
| z | | 18.52
| znorm | | 14.34
| sky | 14.2 | 14.0 | 14.1
| S/N | 10.7 | 17.5 | 17.2
| S/N(c) | 15.7 | 17.8 | 7.6
| SN(E/C) | 0.54
|
|
|
|
|
|
|
9990038
| 47
| | Red | Green | Blue
| z | | 18.98
| znorm | | 14.80
| sky | 14.5 | 14.3 | 14.5
| S/N | 14.3 | 22.9 | 23.4
| S/N(c) | 21.2 | 22.7 | 10.2
| SN(E/C) | 0.46
|
|
|
|
|
|
|
9990039
| 47
| | Red | Green | Blue
| z | | 19.07
| znorm | | 14.89
| sky | 14.5 | 14.5 | 14.8
| S/N | 15.7 | 24.1 | 25.2
| S/N(c) | 22.1 | 23.6 | 10.7
| SN(E/C) | 0.43
|
|
|
|
|
|
|
9990040
| 47
| | Red | Green | Blue
| z | | 18.92
| znorm | | 14.74
| sky | 14.6 | 14.4 | 14.9
| S/N | 14.2 | 22.6 | 23.4
| S/N(c) | 20.6 | 22.0 | 10.0
| SN(E/C) | 0.45
|
|
|
|
|
|
|
9990041
| 47
| | Red | Green | Blue
| z | | 18.98
| znorm | | 14.80
| sky | 14.7 | 14.6 | 14.8
| S/N | 14.3 | 23.3 | 23.9
| S/N(c) | 21.2 | 22.9 | 10.2
| SN(E/C) | 0.45
|
|
|
|
|
|
|
9990042
| 47
| | Red | Green | Blue
| z | | 18.74
| znorm | | 14.56
| sky | 14.2 | 14.2 | 14.3
| S/N | 12.4 | 20.1 | 21.3
| S/N(c) | 18.2 | 20.1 | 9.1
| SN(E/C) | 0.44
|
|
|
|
|
|
|
9990043
| 47
| | Red | Green | Blue
| z | | 19.06
| znorm | | 14.87
| sky | 14.6 | 14.5 | 14.7
| S/N | 15.6 | 24.5 | 25.5
| S/N(c) | 22.4 | 23.9 | 10.7
| SN(E/C) | 0.43
|
|
|
|
|
|
|
9990044
| 47
| | Red | Green | Blue
| z | | 19.02
| znorm | | 14.84
| sky | 14.5 | 14.5 | 14.6
| S/N | 15.4 | 23.9 | 25.3
| S/N(c) | 21.8 | 23.3 | 10.5
| SN(E/C) | 0.42
|
|
|
|
|
|
|