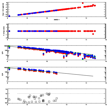
Left plots: red are targets, blue are telluric. Observed mags are calculated from median value of green chip. Zeropoint gives overall throughput: bigger number is more throughput.
First spatial plots: circles are objects, squares are tellurics, crosses are sky fibers. Colors give deviation of observed mag from expected 2MASS mag using the median zeropoint; red is brighter
Second spatial plots: circles are sky fibers. Colors give sky line brightness relative to plate median sky line brightness
FrameNreadsZeropointsMag plots Spatial mag deviation Spatial sky 16325A emission deviations (filled: sky, open: star) Spatial sky continuum emission Spatial sky telluric CO2 absorption deviations (filled: H < 10)
0 0
RedGreenBlue
z17.64
znorm Inf
sky -NaN -Inf -NaN
S/N 25.6 41.8 44.1
S/N(c) 0.0 0.0 0.0
SN(E/C) 0.42

IPAIRNAMESHIFTNEWSHIFTS/N NAMESHIFTNEWSHIFTS/N
0 09990038 0.520660 0.00000 18.9687 09990040 -0.00264072 0.523301 18.9136
1 09990039 0.519787 0.000872970 19.0597 09990044 -0.00370183 0.524362 19.0069
2 09990043 0.515426 0.00523400 19.0445 09990041 -0.00342109 0.524081 18.9585
3 09990042 0.515385 0.00527501 18.7374 09990037 0.00000 0.520660 18.4950