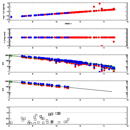
Left plots: red are targets, blue are telluric. Observed mags are calculated from median value of green chip. Zeropoint gives overall throughput: bigger number is more throughput.
First spatial plots: circles are objects, squares are tellurics, crosses are sky fibers. Colors give deviation of observed mag from expected 2MASS mag using the median zeropoint; red is brighter
Second spatial plots: circles are sky fibers. Colors give sky line brightness relative to plate median sky line brightness
FrameNreadsZeropointsMag plots Spatial mag deviation Spatial sky 16325A emission deviations (filled: sky, open: star) Spatial sky continuum emission Spatial sky telluric CO2 absorption deviations (filled: H < 10)
0 0
RedGreenBlue
z17.64
znorm Inf
sky -Inf -NaN -NaN
S/N 30.3 48.2 50.5
S/N(c) 0.0 0.0 0.0
SN(E/C) 0.41

IPAIRNAMESHIFTNEWSHIFTS/N NAMESHIFTNEWSHIFTS/N
0 06740012 0.486369 0.00000 19.1083 06740017 -0.000510220 0.486879 19.1127
1 06740016 0.484042 0.00232702 19.1888 06740014 -0.00204730 0.488416 19.1722
2 06740015 0.482950 0.00341901 19.1654 06740013 0.00145503 0.484914 19.1610
3 06740011 0.484389 0.00198001 19.0387 06740010 0.00000 0.486369 18.9663