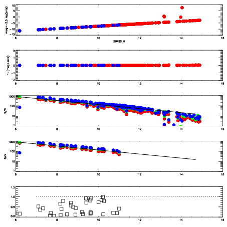
Left plots: red are targets, blue are telluric. Observed mags are calculated from median value of green chip. Zeropoint gives overall throughput: bigger number is more throughput.
First spatial plots: circles are objects, squares are tellurics, crosses are sky fibers. Colors give deviation of observed mag from expected 2MASS mag using the median zeropoint; red is brighter
Second spatial plots: circles are sky fibers. Colors give sky line brightness relative to plate median sky line brightness
FrameNreadsZeropointsMag plots Spatial mag deviation Spatial sky 16325A emission deviations (filled: sky, open: star) Spatial sky continuum emission Spatial sky telluric CO2 absorption deviations (filled: H < 10)
0 0
RedGreenBlue
z17.64
znorm Inf
sky -Inf -Inf -Inf
S/N 32.2 49.9 54.9
S/N(c) 0.0 0.0 0.0
SN(E/C) 0.39

IPAIRNAMESHIFTNEWSHIFTS/N NAMESHIFTNEWSHIFTS/N
0 07530035 0.478642 0.00000 19.0125 07530034 0.00106130 0.477581 19.0084
1 07530027 0.471520 0.00712198 19.0977 07530030 0.00302448 0.475617 19.1042
2 07530031 0.475987 0.00265500 19.0771 07530029 -0.000625971 0.479268 19.0719
3 07530032 0.477540 0.00110200 19.0578 07530026 0.00000 0.478642 19.0697
4 07530028 0.472515 0.00612700 19.0035 07530033 0.000892368 0.477750 19.0082