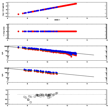
Left plots: red are targets, blue are telluric. Observed mags are calculated from median value of green chip. Zeropoint gives overall throughput: bigger number is more throughput.
First spatial plots: circles are objects, squares are tellurics, crosses are sky fibers. Colors give deviation of observed mag from expected 2MASS mag using the median zeropoint; red is brighter
Second spatial plots: circles are sky fibers. Colors give sky line brightness relative to plate median sky line brightness
FrameNreadsZeropointsMag plots Spatial mag deviation Spatial sky 16325A emission deviations (filled: sky, open: star) Spatial sky continuum emission Spatial sky telluric CO2 absorption deviations (filled: H < 10)
0 0
RedGreenBlue
z17.64
znorm Inf
sky -Inf -Inf -Inf
S/N 28.4 45.8 47.2
S/N(c) 0.0 0.0 0.0
SN(E/C) 0.92

IPAIRNAMESHIFTNEWSHIFTS/N NAMESHIFTNEWSHIFTS/N
0 07530045 0.477385 0.00000 18.9665 07530043 0.000876267 0.476509 18.9423
1 07530040 0.474403 0.00298202 19.0748 07530039 0.00000 0.477385 19.0307
2 07530041 0.474849 0.00253603 19.0230 07530042 0.000579164 0.476806 19.0199
3 07530044 0.476017 0.00136802 19.0022 07530046 0.00277019 0.474615 19.0177