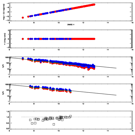
Left plots: red are targets, blue are telluric. Observed mags are calculated from median value of green chip. Zeropoint gives overall throughput: bigger number is more throughput.
First spatial plots: circles are objects, squares are tellurics, crosses are sky fibers. Colors give deviation of observed mag from expected 2MASS mag using the median zeropoint; red is brighter
Second spatial plots: circles are sky fibers. Colors give sky line brightness relative to plate median sky line brightness
FrameNreadsZeropointsMag plots Spatial mag deviation Spatial sky 16325A emission deviations (filled: sky, open: star) Spatial sky continuum emission Spatial sky telluric CO2 absorption deviations (filled: H < 10)
0 0
RedGreenBlue
z17.64
znorm Inf
sky -Inf -Inf -Inf
S/N 27.4 45.3 47.8
S/N(c) 0.0 0.0 0.0
SN(E/C) 0.85

IPAIRNAMESHIFTNEWSHIFTS/N NAMESHIFTNEWSHIFTS/N
0 07610013 0.485727 0.00000 19.0327 07610011 0.00000 0.485727 18.9646
1 07610012 0.484129 0.00159800 19.0511 07610014 0.000985125 0.484742 19.0029
2 07610017 0.484167 0.00156000 18.8969 07610015 0.00192906 0.483798 18.9502
3 07610016 0.483292 0.00243500 18.8804 07610018 0.00238623 0.483341 18.9496