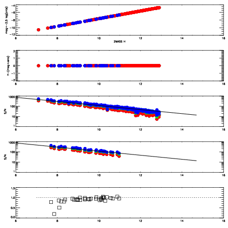
Left plots: red are targets, blue are telluric. Observed mags are calculated from median value of green chip. Zeropoint gives overall throughput: bigger number is more throughput.
First spatial plots: circles are objects, squares are tellurics, crosses are sky fibers. Colors give deviation of observed mag from expected 2MASS mag using the median zeropoint; red is brighter
Second spatial plots: circles are sky fibers. Colors give sky line brightness relative to plate median sky line brightness
FrameNreadsZeropointsMag plots Spatial mag deviation Spatial sky 16325A emission deviations (filled: sky, open: star) Spatial sky continuum emission Spatial sky telluric CO2 absorption deviations (filled: H < 10)
0 0
RedGreenBlue
z17.64
znorm Inf
sky -Inf -Inf -Inf
S/N 23.5 38.5 40.2
S/N(c) 0.0 0.0 0.0
SN(E/C) 0.92

IPAIRNAMESHIFTNEWSHIFTS/N NAMESHIFTNEWSHIFTS/N
0 07840016 0.477166 0.00000 18.9036 07840015 0.000185212 0.476981 18.9385
1 07840017 0.476927 0.000238985 18.8699 07840018 0.000381087 0.476785 18.9244
2 07840012 0.475662 0.00150400 18.5927 07840014 -9.05599e-05 0.477257 18.8408
3 07840013 0.475585 0.00158098 18.5194 07840011 0.00000 0.477166 18.6828