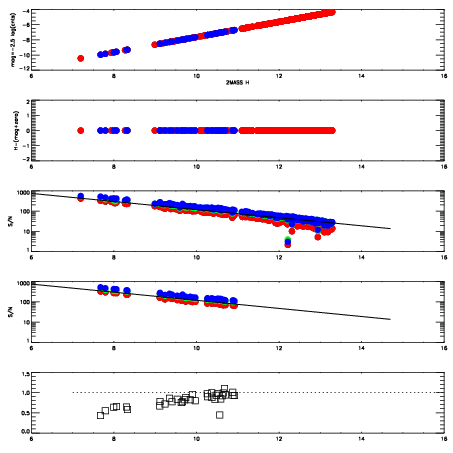
Left plots: red are targets, blue are telluric. Observed mags are calculated from median value of green chip. Zeropoint gives overall throughput: bigger number is more throughput.
First spatial plots: circles are objects, squares are tellurics, crosses are sky fibers. Colors give deviation of observed mag from expected 2MASS mag using the median zeropoint; red is brighter
Second spatial plots: circles are sky fibers. Colors give sky line brightness relative to plate median sky line brightness
FrameNreadsZeropointsMag plots Spatial mag deviation Spatial sky 16325A emission deviations (filled: sky, open: star) Spatial sky continuum emission Spatial sky telluric CO2 absorption deviations (filled: H < 10)
0 0
RedGreenBlue
z17.64
znorm Inf
sky -Inf -Inf -Inf
S/N 30.3 51.1 54.1
S/N(c) 0.0 0.0 0.0
SN(E/C) 0.83

IPAIRNAMESHIFTNEWSHIFTS/N NAMESHIFTNEWSHIFTS/N
0 06150018 0.481798 0.00000 19.1839 06150019 0.000808078 0.480990 19.1546
1 06150021 0.473490 0.00830799 19.2117 06150023 -0.00484104 0.486639 19.2195
2 06150022 0.479036 0.00276199 19.2111 06150020 -0.00418952 0.485988 19.1925
3 06150017 0.477001 0.00479698 19.0148 06150016 0.00000 0.481798 18.9905