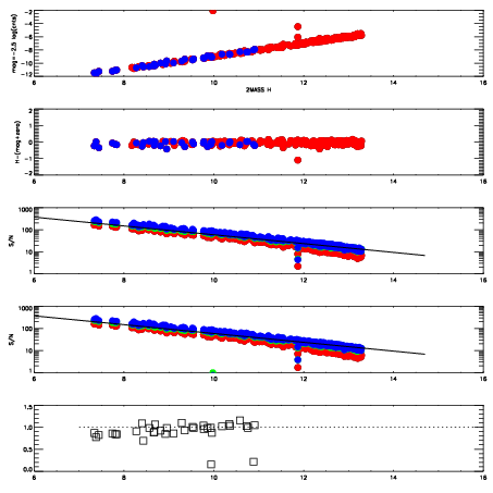
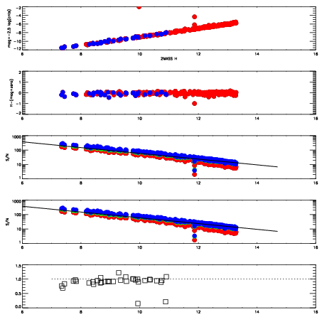
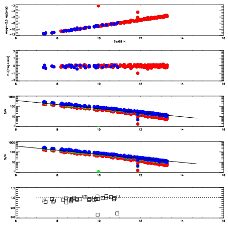
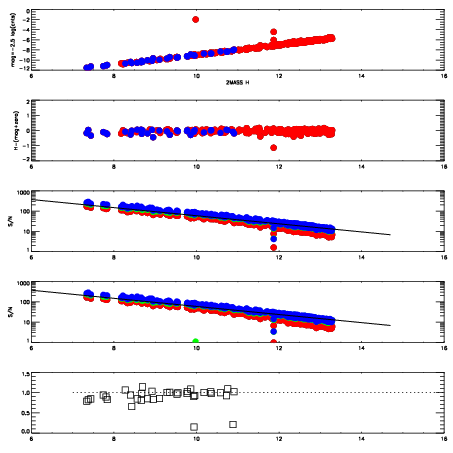
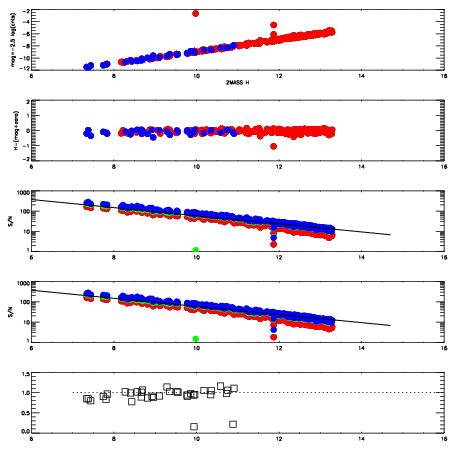
Frame | Nreads | Zeropoints | Mag plots
| Spatial mag deviation
| Spatial sky 16325A emission deviations (filled: sky, open: star)
| Spatial sky continuum emission
| Spatial sky telluric CO2 absorption deviations (filled: H < 10)
|
6070058
| 47
| | Red | Green | Blue
| z | | 19.00
| znorm | | 14.82
| sky | 14.5 | 14.3 | 14.4
| S/N | 14.7 | 24.1 | 24.8
| S/N(c) | 36.3 | 14.7 | 48.1
| SN(E/C) | 0.96
|
|
|
|
|
|
|
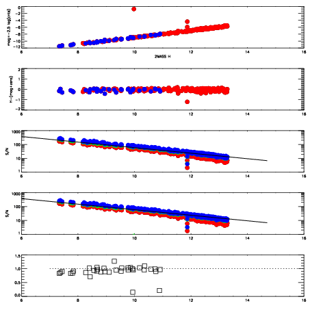
6070059
| 47
| | Red | Green | Blue
| z | | 19.01
| znorm | | 14.83
| sky | 14.8 | 14.3 | 14.5
| S/N | 15.0 | 24.7 | 24.7
| S/N(c) | 36.2 | 14.7 | 48.9
| SN(E/C) | 0.95
|
|
|
|
|
|
|
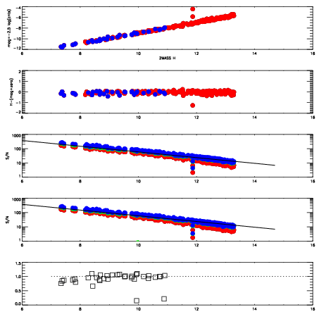
6070060
| 47
| | Red | Green | Blue
| z | | 19.03
| znorm | | 14.85
| sky | 14.8 | 14.4 | 14.6
| S/N | 15.4 | 25.2 | 25.1
| S/N(c) | 36.8 | 14.9 | 49.2
| SN(E/C) | 0.94
|
|
|
|
|
|
|
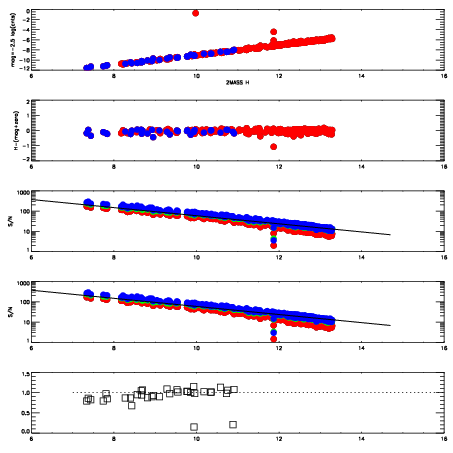
6070061
| 47
| | Red | Green | Blue
| z | | 19.07
| znorm | | 14.89
| sky | 14.8 | 14.5 | 14.5
| S/N | 15.5 | 25.7 | 25.7
| S/N(c) | 37.7 | 15.2 | 50.3
| SN(E/C) | 0.97
|
|
|
|
|
|
|
6070062
| 47
| | Red | Green | Blue
| z | | 19.05
| znorm | | 14.87
| sky | 14.5 | 14.5 | 14.6
| S/N | 15.1 | 25.3 | 25.7
| S/N(c) | 36.9 | 15.1 | 50.3
| SN(E/C) | 0.92
|
|
|
|
|
|
|
6070063
| 47
| | Red | Green | Blue
| z | | 19.00
| znorm | | 14.82
| sky | 14.5 | 14.5 | 14.7
| S/N | 14.5 | 24.5 | 25.0
| S/N(c) | 35.6 | 14.7 | 48.6
| SN(E/C) | 0.95
|
|
|
|
|
|
|
6070064
| 47
| | Red | Green | Blue
| z | | 19.03
| znorm | | 14.85
| sky | 14.5 | 14.6 | 14.7
| S/N | 14.5 | 24.8 | 25.2
| S/N(c) | 35.2 | 14.8 | 49.2
| SN(E/C) | 0.96
|
|
|
|
|
|
|
6070065
| 47
| | Red | Green | Blue
| z | | 19.00
| znorm | | 14.82
| sky | 14.4 | 14.6 | 14.8
| S/N | 14.2 | 24.3 | 25.1
| S/N(c) | 35.0 | 14.7 | 49.0
| SN(E/C) | 0.92
|
|
|
|
|
|
|