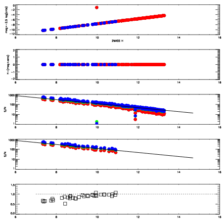
Left plots: red are targets, blue are telluric. Observed mags are calculated from median value of green chip. Zeropoint gives overall throughput: bigger number is more throughput.
First spatial plots: circles are objects, squares are tellurics, crosses are sky fibers. Colors give deviation of observed mag from expected 2MASS mag using the median zeropoint; red is brighter
Second spatial plots: circles are sky fibers. Colors give sky line brightness relative to plate median sky line brightness
FrameNreadsZeropointsMag plots Spatial mag deviation Spatial sky 16325A emission deviations (filled: sky, open: star) Spatial sky continuum emission Spatial sky telluric CO2 absorption deviations (filled: H < 10)
0 0
RedGreenBlue
z17.64
znorm Inf
sky -Inf -Inf -Inf
S/N 25.9 46.0 47.4
S/N(c) 0.0 0.0 0.0
SN(E/C) 0.89

IPAIRNAMESHIFTNEWSHIFTS/N NAMESHIFTNEWSHIFTS/N
0 06070064 0.479372 0.00000 19.0116 06070062 0.000377952 0.478994 19.0470
1 06070060 0.478016 0.00135601 19.0306 06070061 -0.00187504 0.481247 19.0636
2 06070059 0.477890 0.00148198 19.0056 06070058 0.00000 0.479372 18.9997
3 06070063 0.479340 3.20077e-05 18.9932 06070065 -0.00167176 0.481044 18.9932