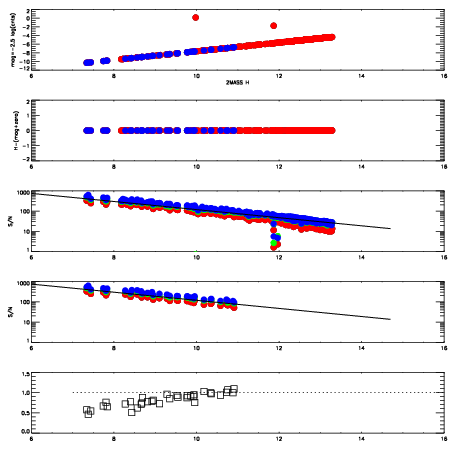
Left plots: red are targets, blue are telluric. Observed mags are calculated from median value of green chip. Zeropoint gives overall throughput: bigger number is more throughput.
First spatial plots: circles are objects, squares are tellurics, crosses are sky fibers. Colors give deviation of observed mag from expected 2MASS mag using the median zeropoint; red is brighter
Second spatial plots: circles are sky fibers. Colors give sky line brightness relative to plate median sky line brightness
FrameNreadsZeropointsMag plots Spatial mag deviation Spatial sky 16325A emission deviations (filled: sky, open: star) Spatial sky continuum emission Spatial sky telluric CO2 absorption deviations (filled: H < 10)
0 0
RedGreenBlue
z17.64
znorm Inf
sky -Inf -Inf -Inf
S/N 28.3 47.9 51.7
S/N(c) 0.0 0.0 0.0
SN(E/C) 0.85

IPAIRNAMESHIFTNEWSHIFTS/N NAMESHIFTNEWSHIFTS/N
0 06330052 0.471282 0.00000 19.1294 06330054 -0.000525984 0.471808 19.1618
1 06330051 0.471013 0.000268996 19.1226 06330053 0.000825407 0.470457 19.1461
2 06330056 0.469919 0.00136301 19.1198 06330050 0.00000 0.471282 19.1416
3 06330055 0.469361 0.00192100 19.1022 06330057 -0.00217704 0.473459 19.0286