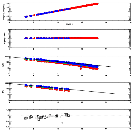
Left plots: red are targets, blue are telluric. Observed mags are calculated from median value of green chip. Zeropoint gives overall throughput: bigger number is more throughput.
First spatial plots: circles are objects, squares are tellurics, crosses are sky fibers. Colors give deviation of observed mag from expected 2MASS mag using the median zeropoint; red is brighter
Second spatial plots: circles are sky fibers. Colors give sky line brightness relative to plate median sky line brightness
FrameNreadsZeropointsMag plots Spatial mag deviation Spatial sky 16325A emission deviations (filled: sky, open: star) Spatial sky continuum emission Spatial sky telluric CO2 absorption deviations (filled: H < 10)
0 0
RedGreenBlue
z17.64
znorm Inf
sky -Inf -Inf -Inf
S/N 20.1 37.1 38.0
S/N(c) 0.0 0.0 0.0
SN(E/C) 0.90

IPAIRNAMESHIFTNEWSHIFTS/N NAMESHIFTNEWSHIFTS/N
0 06080059 0.484119 0.00000 18.7279 06080058 0.00000 0.484119 18.7236
1 06080064 0.479775 0.00434399 18.6030 06080065 -0.00524867 0.489368 18.7079
2 06080060 0.482856 0.00126299 18.5809 06080062 -0.00545311 0.489572 18.5553
3 06080063 0.479796 0.00432301 18.2537 06080061 -0.00355013 0.487669 18.5500