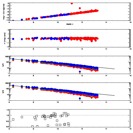
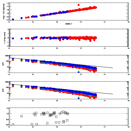
Frame | Nreads | Zeropoints | Mag plots
| Spatial mag deviation
| Spatial sky 16325A emission deviations (filled: sky, open: star)
| Spatial sky continuum emission
| Spatial sky telluric CO2 absorption deviations (filled: H < 10)
|
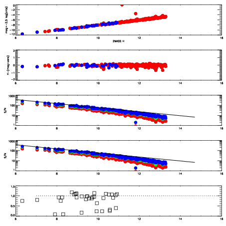
6620032
| 47
| | Red | Green | Blue
| z | | 18.61
| znorm | | 14.43
| sky | 14.4 | 14.1 | 14.5
| S/N | 11.2 | 18.4 | 19.7
| S/N(c) | 11.0 | 24.8 | 32.1
| SN(E/C) | 0.88
|
|
|
|
|
|
|
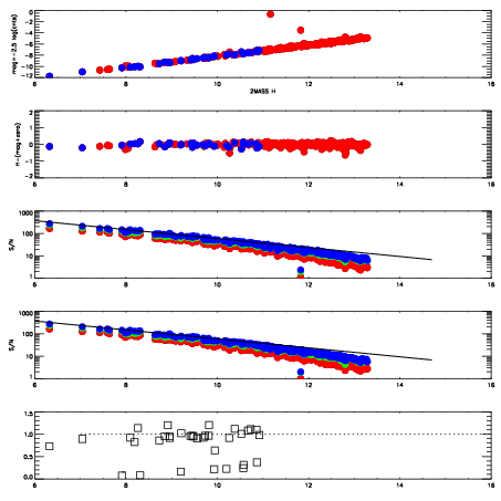
6620033
| 47
| | Red | Green | Blue
| z | | 18.68
| znorm | | 14.50
| sky | 14.3 | 14.2 | 14.6
| S/N | 11.9 | 19.3 | 20.7
| S/N(c) | 11.5 | 25.9 | 33.6
| SN(E/C) | 0.93
|
|
|
|
|
|
|
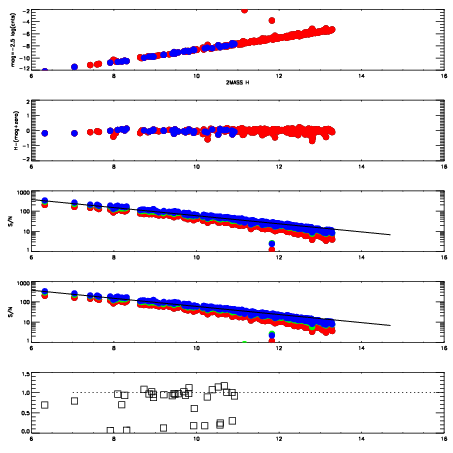
6620034
| 47
| | Red | Green | Blue
| z | | 18.44
| znorm | | 14.26
| sky | 14.2 | 14.2 | 14.3
| S/N | 10.0 | 17.1 | 18.0
| S/N(c) | 9.9 | 23.4 | 28.7
| SN(E/C) | 0.95
|
|
|
|
|
|
|
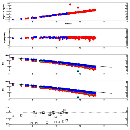
6620035
| 47
| | Red | Green | Blue
| z | | 18.21
| znorm | | 14.03
| sky | 14.2 | 14.1 | 14.4
| S/N | 8.1 | 14.5 | 15.9
| S/N(c) | 8.5 | 20.2 | 25.8
| SN(E/C) | 0.92
|
|
|
|
|
|
|
6620036
| 47
| | Red | Green | Blue
| z | | 16.25
| znorm | | 12.07
| sky | 13.7 | 13.7 | 14.0
| S/N | 1.5 | 3.2 | 4.1
| S/N(c) | 1.8 | 5.4 | 7.5
| SN(E/C) | 1.04
|
|
|
|
|
|
|
6620037
| 47
| | Red | Green | Blue
| z | | 18.01
| znorm | | 13.83
| sky | 14.1 | 14.1 | 14.4
| S/N | 6.9 | 12.4 | 13.8
| S/N(c) | 7.4 | 18.0 | 22.2
| SN(E/C) | 0.93
|
|
|
|
|
|
|
6620038
| 47
| | Red | Green | Blue
| z | | 16.97
| znorm | | 12.79
| sky | 13.9 | 13.9 | 14.3
| S/N | 2.7 | 6.1 | 7.2
| S/N(c) | 3.2 | 9.2 | 12.2
| SN(E/C) | 1.07
|
|
|
|
|
|
|
6620039
| 47
| | Red | Green | Blue
| z | | 18.11
| znorm | | 13.93
| sky | 14.5 | 14.3 | 14.6
| S/N | 7.5 | 13.6 | 14.7
| S/N(c) | 8.0 | 19.3 | 24.3
| SN(E/C) | 0.92
|
|
|
|
|
|
|