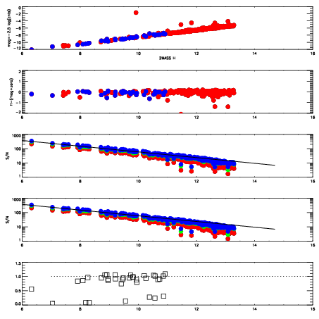
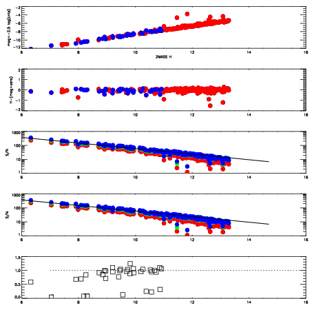
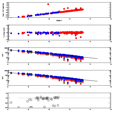
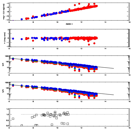
Frame | Nreads | Zeropoints | Mag plots
| Spatial mag deviation
| Spatial sky 16325A emission deviations (filled: sky, open: star)
| Spatial sky continuum emission
| Spatial sky telluric CO2 absorption deviations (filled: H < 10)
|
6720010
| 47
| | Red | Green | Blue
| z | | 18.64
| znorm | | 14.46
| sky | 14.4 | 14.3 | 14.3
| S/N | 11.9 | 20.7 | 20.9
| S/N(c) | 17.1 | 16.9 | 19.2
| SN(E/C) | 0.94
|
|
|
|
|
|
|
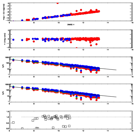
6720011
| 47
| | Red | Green | Blue
| z | | 18.59
| znorm | | 14.41
| sky | 14.5 | 14.4 | 14.6
| S/N | 11.3 | 19.8 | 20.1
| S/N(c) | 16.2 | 16.3 | 18.5
| SN(E/C) | 0.93
|
|
|
|
|
|
|
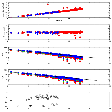
6720012
| 47
| | Red | Green | Blue
| z | | 18.89
| znorm | | 14.71
| sky | 14.5 | 14.4 | 14.6
| S/N | 13.9 | 23.1 | 23.7
| S/N(c) | 19.3 | 19.0 | 21.8
| SN(E/C) | 0.93
|
|
|
|
|
|
|
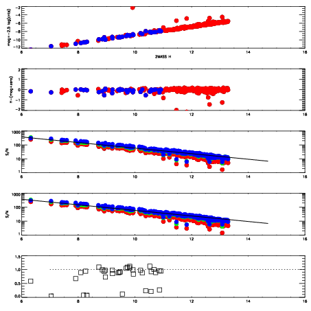
6720013
| 47
| | Red | Green | Blue
| z | | 18.93
| znorm | | 14.75
| sky | 14.3 | 14.4 | 14.6
| S/N | 14.0 | 23.6 | 24.2
| S/N(c) | 19.6 | 19.6 | 22.2
| SN(E/C) | 0.90
|
|
|
|
|
|
|
6720014
| 47
| | Red | Green | Blue
| z | | 18.74
| znorm | | 14.56
| sky | 14.5 | 14.4 | 14.5
| S/N | 12.4 | 21.2 | 22.4
| S/N(c) | 17.5 | 17.7 | 20.1
| SN(E/C) | 0.93
|
|
|
|
|
|
|
6720015
| 47
| | Red | Green | Blue
| z | | 18.95
| znorm | | 14.77
| sky | 14.7 | 14.6 | 14.5
| S/N | 14.2 | 24.0 | 24.8
| S/N(c) | 20.1 | 20.0 | 22.5
| SN(E/C) | 0.90
|
|
|
|
|
|
|
6720016
| 47
| | Red | Green | Blue
| z | | 18.84
| znorm | | 14.66
| sky | 14.5 | 14.5 | 14.6
| S/N | 13.1 | 22.5 | 23.3
| S/N(c) | 18.7 | 18.7 | 21.1
| SN(E/C) | 0.92
|
|
|
|
|
|
|
6720017
| 47
| | Red | Green | Blue
| z | | 18.58
| znorm | | 14.40
| sky | 14.4 | 14.4 | 14.6
| S/N | 10.5 | 18.6 | 19.9
| S/N(c) | 15.4 | 16.0 | 18.5
| SN(E/C) | 0.91
|
|
|
|
|
|
|