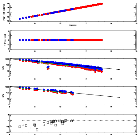
Left plots: red are targets, blue are telluric. Observed mags are calculated from median value of green chip. Zeropoint gives overall throughput: bigger number is more throughput.
First spatial plots: circles are objects, squares are tellurics, crosses are sky fibers. Colors give deviation of observed mag from expected 2MASS mag using the median zeropoint; red is brighter
Second spatial plots: circles are sky fibers. Colors give sky line brightness relative to plate median sky line brightness
FrameNreadsZeropointsMag plots Spatial mag deviation Spatial sky 16325A emission deviations (filled: sky, open: star) Spatial sky continuum emission Spatial sky telluric CO2 absorption deviations (filled: H < 10)
0 0
RedGreenBlue
z17.64
znorm Inf
sky -Inf -Inf -Inf
S/N 26.6 50.1 55.0
S/N(c) 0.0 0.0 0.0
SN(E/C) 0.90

IPAIRNAMESHIFTNEWSHIFTS/N NAMESHIFTNEWSHIFTS/N
0 06630032 0.477802 0.00000 18.8651 06630038 -0.00198704 0.479789 18.9149
1 06630036 0.475123 0.00267902 18.9201 06630041 -0.00312121 0.480923 18.9519
2 06630040 0.475104 0.00269800 18.9097 06630037 -0.000239887 0.478042 18.9341
3 06630031 0.477167 0.000634998 18.8572 06630034 6.32500e-05 0.477739 18.8842
4 06630039 0.474988 0.00281399 18.8289 06630033 -0.000543326 0.478345 18.8714
5 06630035 0.475820 0.00198200 18.7651 06630030 0.00000 0.477802 18.8107