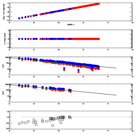
Left plots: red are targets, blue are telluric. Observed mags are calculated from median value of green chip. Zeropoint gives overall throughput: bigger number is more throughput.
First spatial plots: circles are objects, squares are tellurics, crosses are sky fibers. Colors give deviation of observed mag from expected 2MASS mag using the median zeropoint; red is brighter
Second spatial plots: circles are sky fibers. Colors give sky line brightness relative to plate median sky line brightness
FrameNreadsZeropointsMag plots Spatial mag deviation Spatial sky 16325A emission deviations (filled: sky, open: star) Spatial sky continuum emission Spatial sky telluric CO2 absorption deviations (filled: H < 10)
0 0
RedGreenBlue
z17.64
znorm Inf
sky -Inf -Inf -Inf
S/N 31.5 48.9 55.0
S/N(c) 0.0 0.0 0.0
SN(E/C) 0.80

IPAIRNAMESHIFTNEWSHIFTS/N NAMESHIFTNEWSHIFTS/N
0 06640048 0.481554 0.00000 19.1703 06640047 0.00000 0.481554 19.1676
1 06640052 0.481227 0.000326991 19.1623 06640054 -0.00297572 0.484530 19.1385
2 06640053 0.481284 0.000270009 19.1586 06640050 -0.00189690 0.483451 19.1216
3 06640049 0.481456 9.79900e-05 19.1557 06640051 -0.00410511 0.485659 19.1184