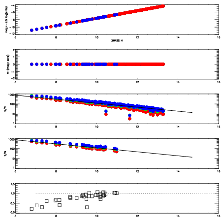
Left plots: red are targets, blue are telluric. Observed mags are calculated from median value of green chip. Zeropoint gives overall throughput: bigger number is more throughput.
First spatial plots: circles are objects, squares are tellurics, crosses are sky fibers. Colors give deviation of observed mag from expected 2MASS mag using the median zeropoint; red is brighter
Second spatial plots: circles are sky fibers. Colors give sky line brightness relative to plate median sky line brightness
FrameNreadsZeropointsMag plots Spatial mag deviation Spatial sky 16325A emission deviations (filled: sky, open: star) Spatial sky continuum emission Spatial sky telluric CO2 absorption deviations (filled: H < 10)
0 0
RedGreenBlue
z17.64
znorm Inf
sky -Inf -Inf -Inf
S/N 30.8 48.9 54.8
S/N(c) 0.0 0.0 0.0
SN(E/C) 0.85

IPAIRNAMESHIFTNEWSHIFTS/N NAMESHIFTNEWSHIFTS/N
0 06680049 0.484628 0.00000 18.8471 06680050 0.00288834 0.481740 18.9047
1 06680045 0.484235 0.000393003 19.1475 06680046 -0.000973483 0.485601 19.1981
2 06680044 0.483943 0.000685006 19.1240 06680047 -0.00127654 0.485905 19.1652
3 06680048 0.483994 0.000633985 19.1215 06680043 0.00000 0.484628 19.1544