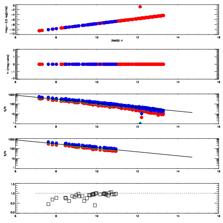
Left plots: red are targets, blue are telluric. Observed mags are calculated from median value of green chip. Zeropoint gives overall throughput: bigger number is more throughput.
First spatial plots: circles are objects, squares are tellurics, crosses are sky fibers. Colors give deviation of observed mag from expected 2MASS mag using the median zeropoint; red is brighter
Second spatial plots: circles are sky fibers. Colors give sky line brightness relative to plate median sky line brightness
FrameNreadsZeropointsMag plots Spatial mag deviation Spatial sky 16325A emission deviations (filled: sky, open: star) Spatial sky continuum emission Spatial sky telluric CO2 absorption deviations (filled: H < 10)
0 0
RedGreenBlue
z17.64
znorm Inf
sky -NaN -NaN -Inf
S/N 24.4 41.8 43.2
S/N(c) 0.0 0.0 0.0
SN(E/C) 0.92

IPAIRNAMESHIFTNEWSHIFTS/N NAMESHIFTNEWSHIFTS/N
0 06090075 0.480875 0.00000 18.7784 06090076 -0.00248005 0.483355 18.8259
1 06090079 0.478132 0.00274298 19.0327 06090080 -0.00277511 0.483650 18.9250
2 06090078 0.477528 0.00334698 19.0183 06090077 -0.00405804 0.484933 18.8690
3 06090074 0.480736 0.000138998 18.6314 06090073 0.00000 0.480875 18.6641