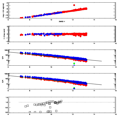
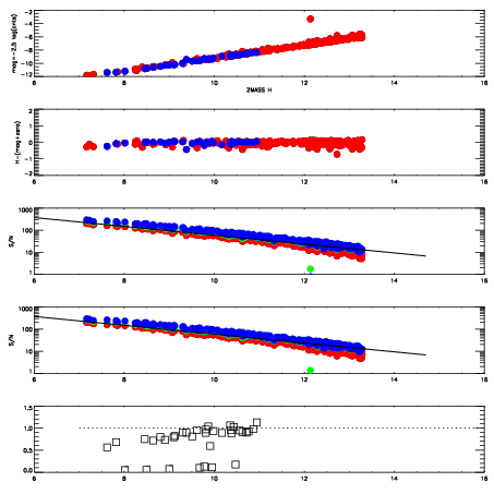
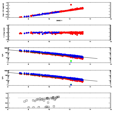
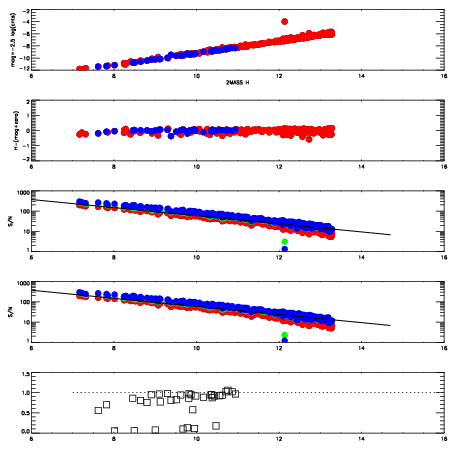
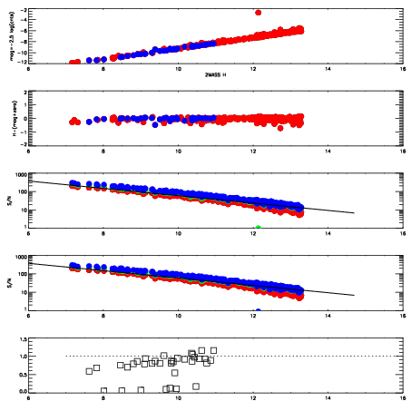
Frame | Nreads | Zeropoints | Mag plots
| Spatial mag deviation
| Spatial sky 16325A emission deviations (filled: sky, open: star)
| Spatial sky continuum emission
| Spatial sky telluric CO2 absorption deviations (filled: H < 10)
|
6150042
| 47
| | Red | Green | Blue
| z | | 19.23
| znorm | | 15.05
| sky | 14.7 | 14.5 | 14.9
| S/N | 16.4 | 25.7 | 27.2
| S/N(c) | 34.4 | 28.2 | 26.0
| SN(E/C) | 0.84
|
|
|
|
|
|
|
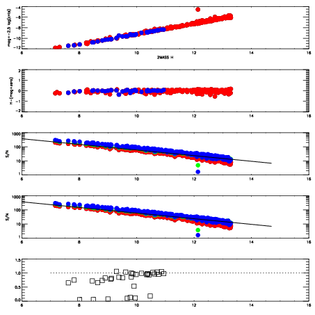
6150043
| 47
| | Red | Green | Blue
| z | | 19.22
| znorm | | 15.04
| sky | 14.7 | 14.8 | 15.1
| S/N | 16.1 | 25.8 | 27.4
| S/N(c) | 34.5 | 28.3 | 26.1
| SN(E/C) | 0.88
|
|
|
|
|
|
|
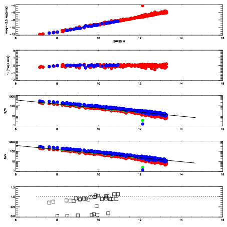
6150044
| 47
| | Red | Green | Blue
| z | | 19.22
| znorm | | 15.04
| sky | 14.6 | 14.8 | 15.1
| S/N | 16.3 | 25.8 | 27.6
| S/N(c) | 34.2 | 28.2 | 26.0
| SN(E/C) | 0.87
|
|
|
|
|
|
|
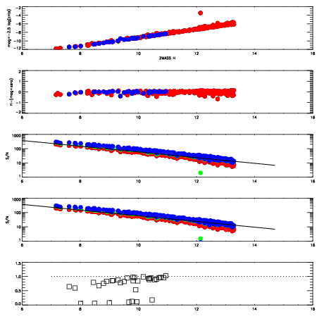
6150045
| 47
| | Red | Green | Blue
| z | | 19.23
| znorm | | 15.05
| sky | 14.9 | 14.7 | 15.1
| S/N | 16.3 | 25.9 | 27.8
| S/N(c) | 34.6 | 28.4 | 26.2
| SN(E/C) | 0.86
|
|
|
|
|
|
|
6150046
| 47
| | Red | Green | Blue
| z | | 19.24
| znorm | | 15.06
| sky | 14.6 | 14.8 | 15.1
| S/N | 16.8 | 26.2 | 28.0
| S/N(c) | 34.8 | 28.6 | 26.6
| SN(E/C) | 0.89
|
|
|
|
|
|
|
6150047
| 47
| | Red | Green | Blue
| z | | 19.25
| znorm | | 15.07
| sky | 14.6 | 14.7 | 15.2
| S/N | 16.5 | 26.5 | 28.1
| S/N(c) | 35.2 | 28.6 | 26.8
| SN(E/C) | 0.85
|
|
|
|
|
|
|
6150048
| 47
| | Red | Green | Blue
| z | | 19.25
| znorm | | 15.07
| sky | 14.5 | 14.8 | 15.1
| S/N | 16.6 | 26.3 | 27.9
| S/N(c) | 34.7 | 28.7 | 26.9
| SN(E/C) | 0.88
|
|
|
|
|
|
|
6150049
| 47
| | Red | Green | Blue
| z | | 19.27
| znorm | | 15.09
| sky | 14.7 | 14.8 | 15.3
| S/N | 16.9 | 26.6 | 28.4
| S/N(c) | 34.8 | 28.8 | 27.1
| SN(E/C) | 0.81
|
|
|
|
|
|
|