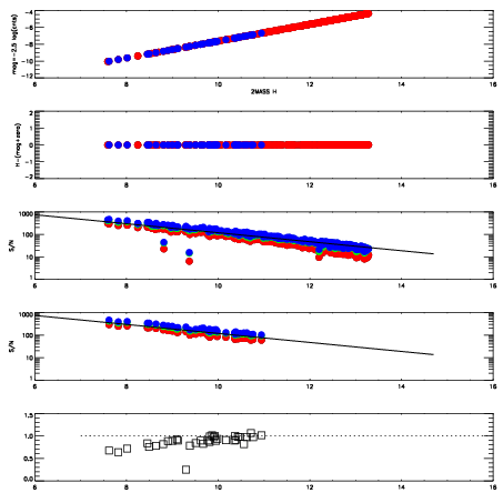
Left plots: red are targets, blue are telluric. Observed mags are calculated from median value of green chip. Zeropoint gives overall throughput: bigger number is more throughput.
First spatial plots: circles are objects, squares are tellurics, crosses are sky fibers. Colors give deviation of observed mag from expected 2MASS mag using the median zeropoint; red is brighter
Second spatial plots: circles are sky fibers. Colors give sky line brightness relative to plate median sky line brightness
FrameNreadsZeropointsMag plots Spatial mag deviation Spatial sky 16325A emission deviations (filled: sky, open: star) Spatial sky continuum emission Spatial sky telluric CO2 absorption deviations (filled: H < 10)
0 0
RedGreenBlue
z17.64
znorm Inf
sky -Inf -Inf -Inf
S/N 25.9 44.8 48.0
S/N(c) 0.0 0.0 0.0
SN(E/C) 0.90

IPAIRNAMESHIFTNEWSHIFTS/N NAMESHIFTNEWSHIFTS/N
0 06680060 0.482732 0.00000 18.9422 06680054 0.00000 0.482732 18.7981
1 06680056 0.482212 0.000519991 19.0471 06680058 -0.00329039 0.486022 18.9896
2 06680059 0.482456 0.000275999 19.0397 06680057 -0.00186873 0.484601 18.9388
3 06680055 0.481712 0.00101998 18.9826 06680061 -0.00185123 0.484583 18.8791