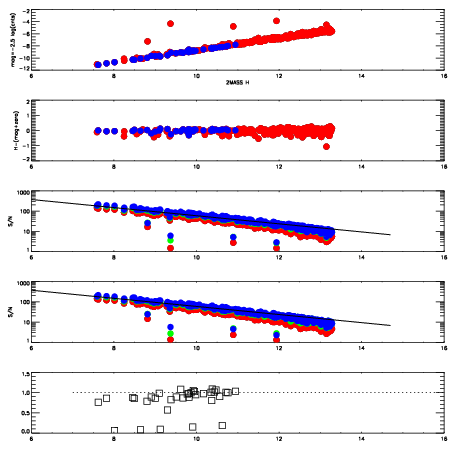
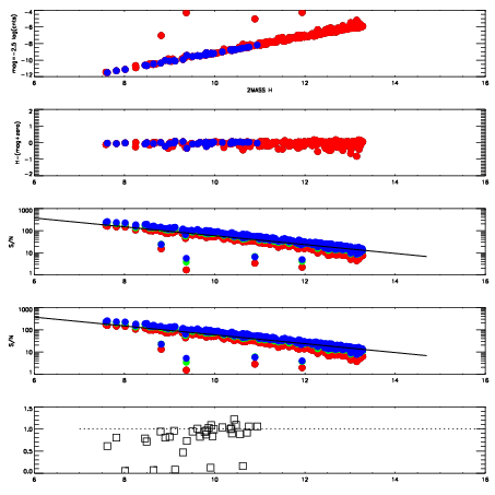
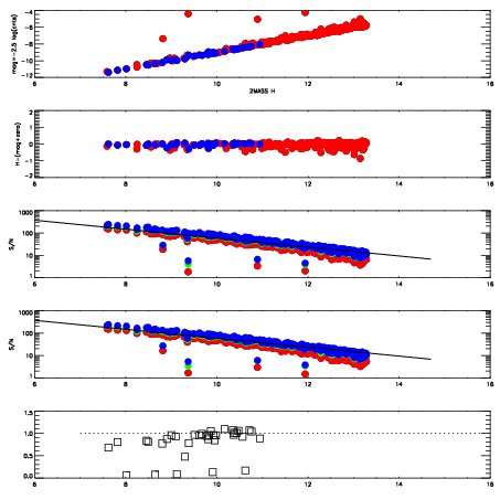
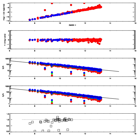
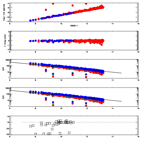
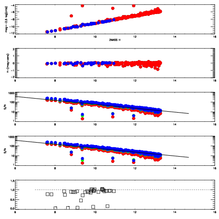
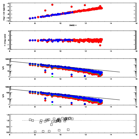
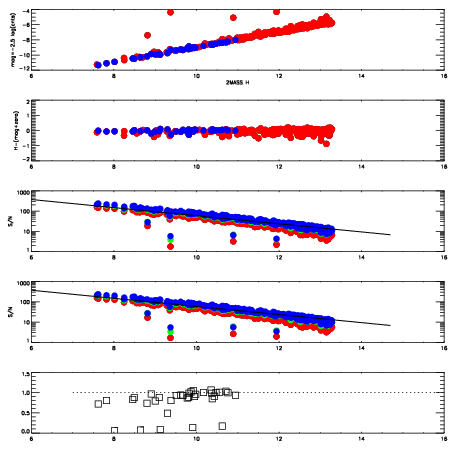
Frame | Nreads | Zeropoints | Mag plots
| Spatial mag deviation
| Spatial sky 16325A emission deviations (filled: sky, open: star)
| Spatial sky continuum emission
| Spatial sky telluric CO2 absorption deviations (filled: H < 10)
|
6720032
| 47
| | Red | Green | Blue
| z | | 18.74
| znorm | | 14.56
| sky | 14.1 | 13.9 | 14.0
| S/N | 12.5 | 20.1 | 21.2
| S/N(c) | 24.9 | 13.9 | 22.4
| SN(E/C) | 0.89
|
|
|
|
|
|
|
6720033
| 47
| | Red | Green | Blue
| z | | 18.97
| znorm | | 14.79
| sky | 14.3 | 14.2 | 14.4
| S/N | 14.7 | 23.6 | 24.8
| S/N(c) | 28.6 | 15.6 | 25.2
| SN(E/C) | 0.90
|
|
|
|
|
|
|
6720034
| 47
| | Red | Green | Blue
| z | | 19.01
| znorm | | 14.83
| sky | 14.4 | 14.2 | 14.5
| S/N | 15.4 | 24.5 | 25.2
| S/N(c) | 29.5 | 16.0 | 25.9
| SN(E/C) | 0.93
|
|
|
|
|
|
|
6720035
| 47
| | Red | Green | Blue
| z | | 19.00
| znorm | | 14.82
| sky | 14.2 | 14.2 | 14.4
| S/N | 15.5 | 25.0 | 25.4
| S/N(c) | 28.7 | 15.7 | 26.0
| SN(E/C) | 0.92
|
|
|
|
|
|
|
6720036
| 47
| | Red | Green | Blue
| z | | 18.01
| znorm | | 13.83
| sky | 13.7 | 13.6 | 13.8
| S/N | 6.8 | 12.6 | 13.4
| S/N(c) | 15.1 | 9.3 | 15.2
| SN(E/C) | 1.01
|
|
|
|
|
|
|
6720037
| 47
| | Red | Green | Blue
| z | | 19.16
| znorm | | 14.98
| sky | 14.5 | 14.5 | 14.7
| S/N | 16.9 | 26.7 | 28.0
| S/N(c) | 31.9 | 17.1 | 27.9
| SN(E/C) | 0.90
|
|
|
|
|
|
|
6720038
| 47
| | Red | Green | Blue
| z | | 19.12
| znorm | | 14.94
| sky | 14.7 | 14.4 | 14.6
| S/N | 16.1 | 26.3 | 27.6
| S/N(c) | 31.3 | 17.0 | 27.1
| SN(E/C) | 0.92
|
|
|
|
|
|
|
6720039
| 47
| | Red | Green | Blue
| z | | 19.13
| znorm | | 14.95
| sky | 14.5 | 14.5 | 14.5
| S/N | 16.3 | 26.8 | 27.7
| S/N(c) | 31.5 | 17.4 | 27.6
| SN(E/C) | 0.94
|
|
|
|
|
|
|