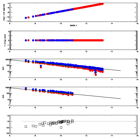
Left plots: red are targets, blue are telluric. Observed mags are calculated from median value of green chip. Zeropoint gives overall throughput: bigger number is more throughput.
First spatial plots: circles are objects, squares are tellurics, crosses are sky fibers. Colors give deviation of observed mag from expected 2MASS mag using the median zeropoint; red is brighter
Second spatial plots: circles are sky fibers. Colors give sky line brightness relative to plate median sky line brightness
FrameNreadsZeropointsMag plots Spatial mag deviation Spatial sky 16325A emission deviations (filled: sky, open: star) Spatial sky continuum emission Spatial sky telluric CO2 absorption deviations (filled: H < 10)
0 0
RedGreenBlue
z17.64
znorm Inf
sky -Inf -NaN -Inf
S/N 30.3 50.5 49.5
S/N(c) 0.0 0.0 0.0
SN(E/C) 0.89

IPAIRNAMESHIFTNEWSHIFTS/N NAMESHIFTNEWSHIFTS/N
0 06410070 0.479274 0.00000 19.1055 06410072 0.00367427 0.475600 19.0749
1 06410069 0.479216 5.79953e-05 19.1421 06410075 0.00618837 0.473086 19.1489
2 06410074 0.478406 0.000867993 19.1189 06410068 0.00000 0.479274 19.1357
3 06410073 0.477934 0.00134000 19.0885 06410071 0.00275994 0.476514 19.0671